近日,细胞移植期刊刊发了一篇名为“在11名膝骨关节炎患者中进行关节内注射脂肪间充质干细胞GXCPC1的安全性和耐受性:试点研究”的文章。
文章主要内容旨在确定关节内注射同种异体脂肪源性间充质干细胞(ADSC)GXCPC1在膝骨关节炎(OA)受试者中的安全性及其初步疗效结果。经过一年的随访后,发现脂肪间充质干细胞治疗骨关节炎是安全的,没有观察到与治疗相关的严重不良事件。与基线相比,低剂量和高剂量组的受试者在接受GXCPC1治疗后,疼痛和膝关节功能均表现出改善趋势。

介绍:骨关节炎 (OA) 是一种常见的慢性退行性关节疾病,影响老年人和肥胖人群。女性膝关节OA的患病率明显高于男性,75岁左右为16%~17%,其中男性为10%~12%,女性为18%~20%。OA最常见的临床表现是疼痛、肿胀、僵硬、功能受限、活动受限,并导致健康相关生活质量 (HRQOL) 下降。
目前膝骨关节炎的治疗大多是对症治疗,重点是减轻疼痛、控制炎症和维持关节功能,包括扑热息痛(对乙酰氨基酚)、非甾体类抗炎药(NSAID)、皮质类固醇和透明质酸(HA)。然而,上述治疗只能缓解,OA的进展却在不断加重。

间充质干细胞 (MSC) 具有多谱系分化潜力、免疫抑制特性和低免疫原性,可广泛使用。其中,脂肪干细胞 (ADSC) 因其丰富、可获取性和侵入性较小的采集程序而成为有前景的来源。ADSC已被提议作为膝关节OA的一种有吸引力的治疗方法。许多临床前研究已证实关节内注射脂肪间充质干细胞可减少滑膜炎、骨赘形成和软骨退变。此外,临床研究表明,自体脂肪干细胞可以改善膝关节功能并减轻疼痛,且不会引起不良事件。
最近的一项研究发现,与基线相比,在长达12个月的时间内,使用自体脂肪干细胞可以显着改善患者的疼痛和生活质量。虽然大多数研究都检验了自体ADSC的功效和安全性,但同种异体脂肪干细胞具有应用可及性的优势。仅研究了少数针对膝关节OA患者的同种异体脂肪干细胞治疗的临床试验。
此外,脂肪组织来源的不同程序或方法在骨科应用中非常重要。不同的收获和分离方法将影响脂肪干细胞的细胞活力和功能表型。到目前为止,仅研究了少数符合监管要求的高质量、高浓度细胞的临床骨科相关应用。
《细胞移植》期刊:关节内注射干细胞显著改善骨关节炎患者的疼痛和膝关节功能
因此,我们在本研究中进行了I期临床试验,以评估在膝关节骨关节炎患者膝关节注射符合监管要求的同种异体脂肪干细胞的安全性、耐受性和有效性。
3+3I期研究设计有两个剂量递增队列:低剂量(6.7×106GXCPC1,N=5)和高剂量(4×107GXCPC1,N=6)。
- 主要终点是安全性,通过记录整个试验过程中的不良事件来评估;
- 次要终点包括西安大略和麦克马斯特大学关节炎指数 (WOMAC) 的总分、疼痛、僵硬和功能分量表、疼痛视觉模拟量表 (VAS) 以及12项简表 (SF-12) 健康调查问卷。
结果
受试者的性格和基线特征:该研究共筛选了13名受试者;两名受试者筛选失败,导致低剂量组中有五名受试者,高剂量组有六名受试者(图1B)。两名WOMAC疼痛评分分别为4和2的受试者被错误地接受了低剂量的GXCPC1。然而,两名受试者仍然完成了长期安全性监测和疗效评价的试验。
ITT人群的人口统计和基线特征如表1所示。在ITT人群中,低剂量组中所有受试者的平均 (SD) 年龄为66.2 (5.89) 岁,高剂量组中为64.5 (5.32) 岁。所有受试者的体重指数 (BMI) <35kg/m2,低剂量组中所有受试者的平均 (SD) BMI为26.6 (4.68) kg/m2,高剂量组中为29.3 (2.82)队列。在这两个队列中,受试者均为膝关节骨关节炎II级至IV级的女性。自诊断以来膝关节OA的平均持续时间在低剂量组中为7.07 年,在高剂量组中为4.31年。

脂肪干细胞治疗骨关节炎安全性
试验中没有受试者经历过DLT。两个队列中的所有受试者均报告了AE(表2)。低剂量队列中的3名受试者 (60.0%) 和高剂量队列中的1名受试者 (16.7%) 经历了≥3级AE。低剂量队列中的两名受试者 (40.0%) 和高剂量队列中的六名受试者 (100.0%) 报告了与治疗相关的AE,但没有一个是严重的。低剂量队列中的两名 (40.0%) 受试者和高剂量队列中的一名 (16.7%) 受试者出现SAE,需要住院或延长住院时间。所有SAE均被认为与治疗无关。此外,本研究中未报告疑似意外严重不良反应(SUSAR)或死亡。表3显示,两个队列中最常见的治疗相关AE是注射部位疼痛。

数据以“不良事件数:发生不良事件的受试者数(%)”的形式呈现。AE:不良事件;ITT:意向治疗;SAE:严重不良事件;SUSAR:疑似意外的严重不良反应。

脂肪干细胞治疗骨关节炎的功效
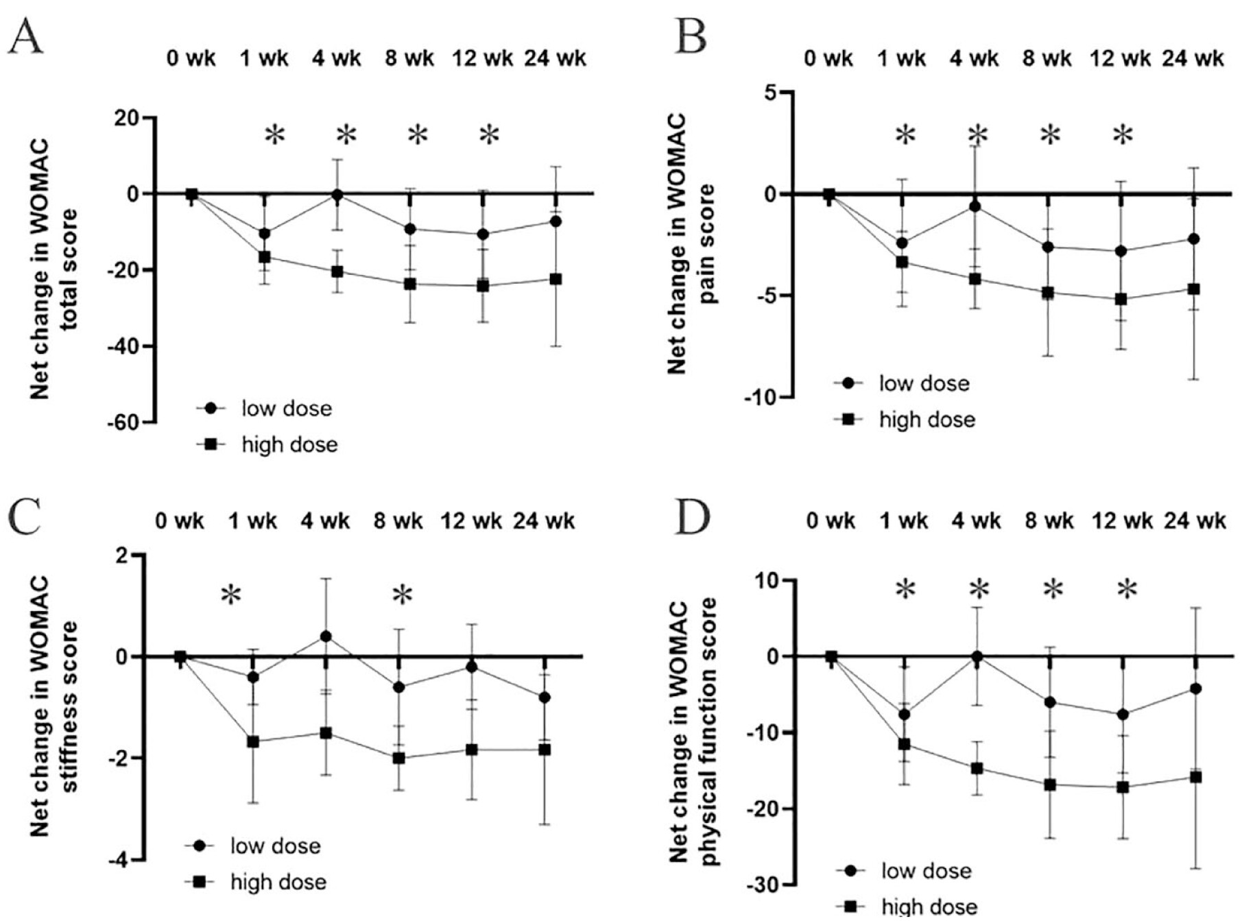
在这两个队列中,从基线到治疗后访视的净变化中,WOMAC总分和分项得分(疼痛、僵硬和身体功能)均呈下降趋势(图2)。随着时间的推移,高剂量组的WOMAC总分和分项分数比低剂量组下降幅度更大,这代表了更大的改善。高剂量队列中从基线到治疗后的净变化显示,与基线相比,第1、4、8和12周的WOMAC总分、疼痛和身体功能评分有显着差异(图2A、B和D) 。给予高剂量GXCPC1后1周和8周,WOMAC硬度评分与基线相比也存在显着差异(图2C)。然而,低剂量组在WOMAC总分、疼痛、僵硬和身体功能分项方面没有显着差异。

(A) WOMAC总分,(B) WOMAC疼痛评分,(C) WOMAC僵硬评分,(D) WOMAC身体功能评分。
与这些结果一致,两个队列的疼痛VAS从基线到治疗后就诊的净变化均呈下降趋势(图3)。在第12周和第24周时,低剂量组中观察到疼痛VAS存在显着差异。在第4、8和12周时,高剂量组中观察到疼痛VAS显着下降。

从基线到治疗后随访,SF-12身体成分总结(PCS)的净变化在两个队列中均呈增加趋势(图4A)。GXCPC1给药后1周至24周观察到高剂量组中SF-12PCS的增加。相反,我们发现任一队列中的SF-12MCS(精神成分总结)随时间推移均没有统计学差异(图4B)。

讨论
本研究初步证实关节内注射GXCPC1对于膝骨关节炎受试者是安全且耐受性良好的。本研究基于I期临床试验,重点关注受试者中与治疗相关的不良事件。
我们观察到,与同种异体ADSC相关的最常见并发症是注射部位疼痛,低剂量组中40%的受试者和高剂量组中100%的受试者出现注射部位疼痛。所有与治疗相关的不良事件均被评为轻度或中度,并且很快全部消退。在其他报道的临床试验中也观察到了这些短暂的副作用。也许,关节腔内注射ADSCs后会产生生理反应或产生抗组蛋白H2B抗体。此外,同种异体ADSC已在众多临床试验中被证明是安全的。
对文献的系统回顾发现,844例关节内MSC手术中仅发生4例SAE,包括1例感染、1例肺栓塞和2例与干预无关的事件。在我们的研究中,在48周的研究期间,没有报告与GXCPC1相关的严重不良事件。总体而言,这项研究证明GXCPC1用于膝关节OA治疗是安全且耐受性良好的。
此外,许多研究报道ADSC治疗可以改善KL分级I-III甚至KL分级IV患者的膝关节疼痛、肿胀、僵硬和功能。Chahal等人表明MSC改善了晚期KL膝关节OA患者的疼痛、僵硬、症状和生活质量。
此外,一些KL分级为IV级的患者不愿意接受关节置换术。因此,我们想知道GXCPC1是否可以改善晚期KL膝OA患者的症状。在本研究中,我们招募了一名KL分级IV级的患者,该研究中的KL分级IV级患者很特殊。根据她的X光片,该患者的膝盖被诊断为KL分级IV。然而,基线WOMAC疼痛评分和VAS分别为8和14。或许,这位患者似乎对疼痛相对不敏感。
因此,所有疼痛问卷得分都不高。尽管所有疼痛问卷评分都不高,但在GXCPC1治疗后,24周时观察到WOMAC总分和VAS从基线到治疗后的改善(分别为3和14)。从GXCPC1治疗后的VAS问卷评分来看,该患者的疼痛症状完全改善。因此,从这些结果来看,脂肪干细胞疗法(GXCPC1)对于KL分级为IV级的OA患者具有治疗潜力。
总之,脂肪干细胞疗法被发现对于治疗膝关节骨关节炎受试者是安全有效的。低剂量或高剂量的脂肪干细胞疗法组表现出安全性,且疼痛缓解持续时间长。脂肪干细胞疗法(GXCPC1)给药风险较低,这些发现支持脂肪干细胞疗法的持续开发。
参考资料:Chen C-F, Chen Y-C, Fu Y-S, et al. Safety and Tolerability of Intra-Articular Injection of Adipose-Derived Mesenchymal Stem Cells GXCPC1 in 11 Subjects With Knee Osteoarthritis: A Nonrandomized Pilot Study Without a Control Arm. Cell Transplantation. 2024;33. doi:10.1177/09636897231221882
免责说明:本文仅用于传播科普知识,分享行业观点,不构成任何临床诊断建议!杭吉干细胞所发布的信息不能替代医生或药剂师的专业建议。如有版权等疑问,请随时联系我。
扫码添加官方微信