背景
骨髓间充质干细胞和脂肪组织间充质干细胞静脉移植已被报道在急性和亚急性期脑卒中患者临床结局的恢复中是有效、安全和有希望的,但慢性期的临床研究仍然有限。据悉,为了更好地恢复神经功能障碍,建议在中风发作后尽早进行干细胞治疗。据我们所知,先前报道的干细胞治疗中风的临床研究没有描述静脉内干细胞移植期间和结束后立即发生的功能变化的细节。
自体干细胞移植治疗21例慢性脑卒中患者的作用

目的
在本研究中,我们旨在阐明自体脂肪干细胞 (ADSC) 对中风发作后4个月后接受自体脂肪干细胞静脉滴注治疗的慢性中风患者的影响。此外,我们旨在检测功能恢复的时间,并找出决定自体脂肪干细胞疗效的临床因素。
患者和方法
我们评估了间充质干细胞治疗对21名中风患者的影响,这些患者有7名缺血性损伤和14名出血性损伤,发病时年龄在40-79岁之间,重点关注
- 1) 在中风发作和自体脂肪干细胞治疗之间的时间间隔,
- 2)中风发作的年龄,
- 3) 移植细胞的数量,以及
- 4) 确认细胞移植的任何第一个功能结果所需的时间。
ADSC由取自腹部皮肤的2-3小块皮下脂肪制备。将切成小块的材料放在支架上,用添加了4%自体血清的培养基培养11至13天。培养21天后,将悬浮于200ml生理盐水中的平均1.0×108个细胞静脉内给药于患者。
结果
中风发作和干细胞治疗之间的时间差对功能恢复的影响
中风发作后6个月内接受自体脂肪干细胞治疗的四名患者和中风发作后6个月至12个月内接受自体脂肪干细胞 治疗的三名患者表现出明显的功能恢复大于NIHSS1,但在14名患者中在中风后12个月以上接受自体脂肪干细胞治疗的患者中,9名患者的恢复高于NIHSS1,5名患者未通过NIHSS恢复(图2)。这些结果表明,干细胞治疗中风获得功能恢复的因素,与在较短的时间内接受多次干细胞治疗有关。

中风发作后6个月内(■ 浅蓝色)、6至12个月(■浅灰色)和12个月后(■深蓝色)接受ADSC治疗的患者人数表明,疾病发作到ADSC治疗的滞后时间更短更有效 (NIHSS˃1),三分之一接受ADSCs治疗的患者在12个月后几乎没有功能恢复。
施用干细胞数量对脑卒中患者功能恢复的影响
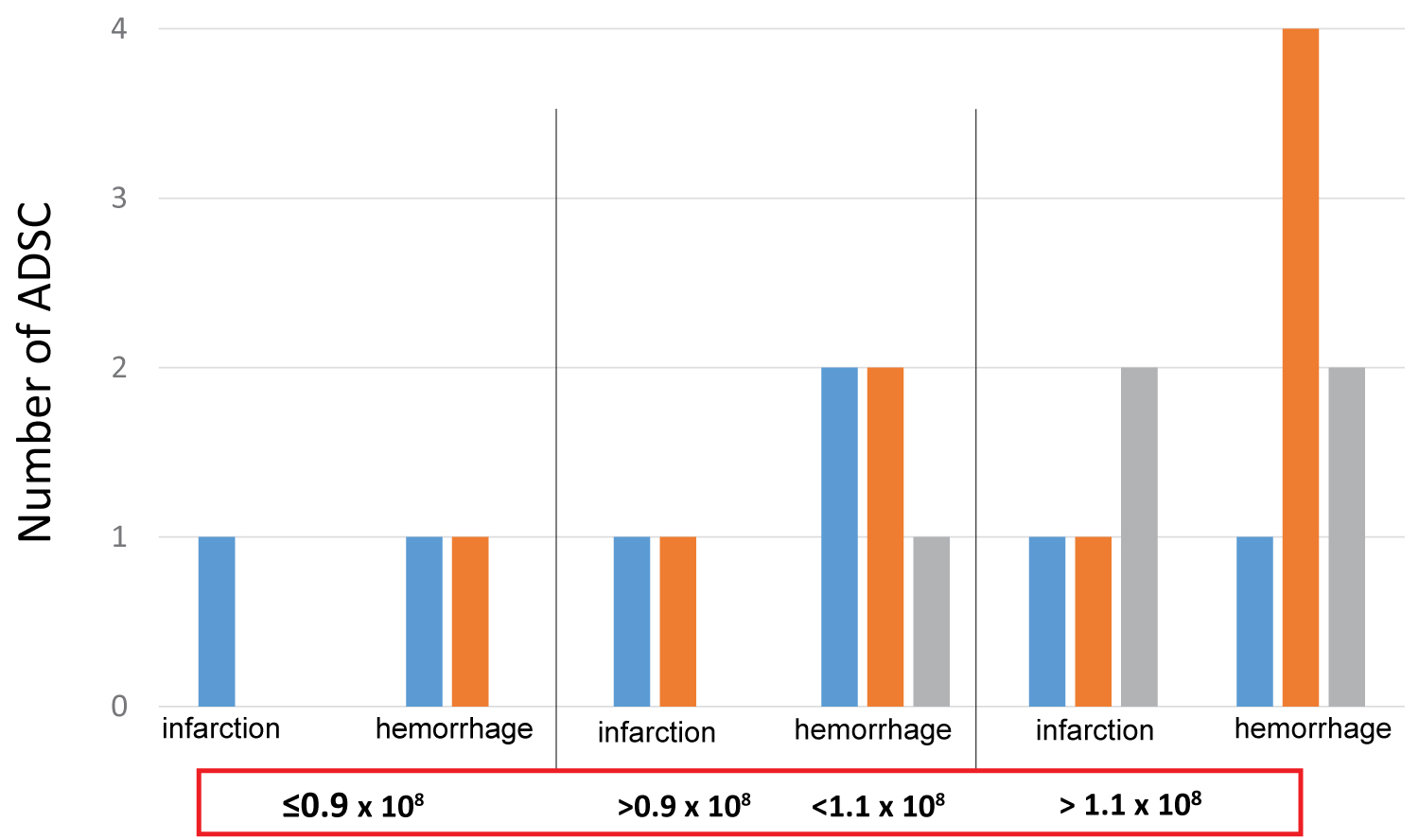
在接受小于0.9×108个细胞(0.6~0.8×108)治疗的三名患者中,两名患者恢复大于或等于3NIHSS,一名患者恢复低于3NIHSS。在接受ADSC细胞数在0.9和1.1×108之间的7名患者中,3名患者的恢复率高于NIHSS3,而另外3名患者的恢复率低于NIHSS3(图3)。在接受1.4×108自体脂肪干细胞输注的11名患者中,2名恢复高于NIHSS3,5名恢复低于NIHSS3,4名未恢复功能。这些结果表明自体脂肪干细胞细胞数量在0.6×108和1.4×108之间对慢性中风患者有相似的恢复作用。

在21名患有梗塞(7例)或出血(14例)的患者中使用NIHSS评估了自体脂肪干细胞数量的影响。与接受超过1.1×108自体脂肪干细胞治疗的患者相比,即使接受少于0.9×108自体脂肪干细胞的患者也显示出相似的疗效。■蓝色、■橙色和■灰色分别表示显示HIHSS功能恢复的患者人数˃3、˂3和无效果。
年龄对干细胞疗法治疗中风的影响
在7名大于NIHSS10的患者中,3名患者小于50,1名患者在50至70之间,1名患者70岁以上显示NISHH功能恢复大于3(图4)。一名年龄在50至70岁之间的患者和一名年龄大于70岁的患者显示NIHSS小于3。在14名NIHS低于10的患者中,一名年龄小于50岁的患者和一名年龄大于70岁的患者显示NIHSS恢复大于3。三名患者50岁以下和4名50至70岁的患者显示NIHSS恢复低于3,而1名50岁以下的患者和4名50至70岁的患者没有功能恢复。这些结果表明自体脂肪干细胞功效可能不受治疗年龄的影响。

自体脂肪干细胞治疗的患者分为两组,一组显示NIHSS恢复>10,另一组显示10。■蓝色条表示患者总数,■橙色、■灰色和■浅橙色条表示年龄小于50岁,分别为50至70岁和70岁以上。
静脉注射干细胞后首次出现功能恢复所需的时间
21例患者中,9例3小时内功能恢复,5例3小时至30天功能恢复(图5)。两名患者在一个多月后表现出功能恢复。其余5例在自体脂肪干细胞治疗后一年内未见任何恢复。这些结果有力地表明,接受静脉内输注自体脂肪干细胞治疗的中风患者的功能恢复可能在细胞输注后不久出现,表明自体脂肪干细胞与内在神经元和血管细胞的间接相互作用。

21例中9例在自体脂肪干细胞治疗后3小时内功能恢复,5例3小时后功能恢复但早于1个月,2例功能恢复晚于1个月。5例在自体脂肪干细胞治疗后一年未恢复。
脂肪干细胞移植对偏瘫患肢皮温的影响
病例3,四肢皮肤冰凉偏瘫,在自体脂肪干细胞移植过程中,皮肤温度恢复到与健康肢体皮肤相似的水平。我们遇到过一些在自体脂肪干细胞输注期间或输注结束时表现出微红皮肤的病例。该结果表明,自体脂肪干细胞疗法可能通过从培养细胞中作为细胞外囊泡排出的小分子对血液循环恢复产生影响,因为输注后数小时内的恢复对于输注细胞到达受损脑区来说太早了。为了证实和阐明静脉注射自体脂肪干细胞治疗对中风患者皮肤温度的影响,我们需要在未来测量更多中风患者的皮肤温度。
结果
在静脉内自体脂肪干细胞移植期间和之后很早的时间观察到运动、感觉和认知功能恢复以及皮肤温度升高。此外,NIHSS评估的功能恢复在很早的时间得到确认,大约在开始自体脂肪干细胞治疗后两到三个小时。与中风发作后12个月后接受自体脂肪干细胞治疗的患者相比,在卒中发作后6个月内接受自体脂肪干细胞点滴治疗的患者表现出更明显的功能恢复。患者年龄、施用的干细胞数量(从0.6×108到1.4×108)和缺血或出血性损伤不影响自体脂肪干细胞治疗的疗效。
讨论与结论
这些结果有力地表明,用自体脂肪干细胞治疗中风患者的功能恢复可能在细胞输注后很快出现,表明自体脂肪干细胞与内在神经元和血管细胞的间接相互作用,以及90分钟输注期间源自ADSC的细胞外囊泡的关键作用。
决定自体脂肪干细胞输注治疗慢性中风患者疗效的最重要因素之一可能是中风发作之日与自体脂肪干细胞治疗之日之间的时间差。仍有待进一步研究推荐自体脂肪干细胞治疗作为慢性中风最有希望的治疗方式之一,特别是阐明脑损伤部位与自体脂肪干细胞治疗疗效的关系。
参考资料:Ichihashi M、Tanaka M、Iizuka T、Nagoe N、Sato Y 等。(2020) 静脉注射自体脂肪细胞来源的干细胞对慢性中风患者的治疗效果。Int J Stem Cell Res Ther 7:070。doi.org/10.23937/2469-570X/1410070
免责说明:本文仅用于传播科普知识,分享行业观点,不构成任何临床诊断建议!杭吉干细胞所发布的信息不能替代医生或药剂师的专业建议。如有版权等疑问,请随时联系我。
扫码添加官方微信