最近,研究人员进行了一项自体干细胞治疗女性雄激素性脱发的短期临床评估的临床试验,临床结果表明自体毛囊干细胞移植治疗雄激素脱发的手术被证明是安全有效的,单次治疗六个月后即可产生令人满意的结果。
自体干细胞治疗女性雄激素性脱发的短期临床评估

雄激素性脱发(AGA)是全球最常见的脱发形式。男性和女性脱发的特点都是末端头发逐渐转化为细小头发。到70岁时,至少80%的男性和50%的女性会受到AGA的影响,白种人的发病率更高。AGA的遗传模式是多基因遗传,涉及家族中任何一方或双方的复杂遗传。在有遗传倾向的个体中,雄激素在AGA中起着致病作用。在AGA患者中,女性和男性的5还原酶活性都会增加,毛囊中的双氢睾酮(DHT)水平也会升高。睾酮通过5-α-还原酶转化为二氢睾酮,这被认为是毛囊萎缩的根本原因。
在毛囊形态发生和毛发正常生长过程中,毛囊干细胞(HFSC)和真皮乳头细胞(DPCs)起着主导作用。在AGA中,真皮细胞分泌的因子阻碍了毛囊干细胞的分化。据推测,HFSCs位于毛囊外根鞘的隆起区。起源于毛囊的DPCs形成位于毛囊基部的表层乳头,周围有大量雄激素受体。HFSCs和DPCs为毛发再生提供了有利条件。在疤痕性脱发(如扁平苔癣和红斑狼疮)中,隆起周围的刺激性细胞入侵会导致高频间充质干细胞不可逆转地丧失。尽管祖细胞受到损伤,但高频间充质干细胞在AGA中仍得以保留,因此这种脱发是可逆的。

社会不断寻求有效的干预措施,以减少与脱发相关的精神和身体疾病的发病率和经济负担。因此,脱发的疗法和治疗产品已被广泛研究了数十年。目前,仅有两种AGA药物获得美国食品和药物管理局(FDA)的批准,即外用米诺地尔和口服非那雄胺。非那雄胺竞争性抑制II型和III型5-α-还原酶同工酶,防止睾酮转化为二氢睾酮。虽然它可以减缓AGA治疗中的脱发,但它并不能完全阻止该过程。考虑到潜在的副作用,如性欲下降、勃起功能障碍、射精量减少和男性乳房发育症,经历AGA的男性通常会青睐替代方法。用于治疗AGA的外用米诺地尔配方于1987年开发。男女均可使用,以刺激毛发生长;然而,其作用机制仍知之甚少。
- 临床上,米诺地尔可缩短休止期并刺激毛囊进入生长期,其持续时间也会延长。这种物质的作用是增加头发的厚度和长度。人类头皮中的磺基转移酶将米诺地尔转化为其活性形式米诺地尔硫酸盐,但个体间磺基转移酶活性的差异会影响米诺地尔的功效。除了已批准的疗法外,许多未经FDA批准的疗法也已证明对治疗AGA有效。
据报道,再生医学疗法,例如干细胞和富含血小板的血浆疗法,目前被认为是治疗脱发的有希望的干预措施。在我们最近的系统综述中,我们分析了不同干细胞用于治疗AGA的情况,其中包括15项研究,涉及653名女性和男性患者。这项研究说明了不同干细胞对头发密度的影响。分析得出的主要结论是,无论毛发来源如何,干细胞疗法对毛发密度都有积极影响。
自体细胞微移植(ACM)是一种通过机械分解和固体组织过滤准备系统从患者头皮活检中提取自体成熟干细胞的方法。Gentile等人研究了27个微移植样本,以确定高频干细胞。他们的计算显示,每个微移植包含约4000个细胞,其中DPCs约占4.6%,而HFSCs占2.4%。ACMs在AGA中的作用机制是通过移植成熟的多能干细胞来促进毛细胞再生,并通过注射生长因子来恢复毛发生长信号。然而,确切的机制尚未确定。
自体干细胞治疗女性雄激素性脱发的短期临床评估
在本文中,我们描述了使用Regenera Activa®设备单次应用自体细胞移植治疗女性雄激素性脱发的短期临床疗效。这项工作的目的是评估单次注射含有HFSCs和DPCs的ACM对毛发状况(尤其是毛发色素沉着和密度)的临床改善效果。
方法:纳入23名经临床和皮肤镜检查确诊AGA的女性。使用Regenera装置从每位患者的皮肤上采集了5个2.5毫米的穿刺活检组织。用Rigeneracons装置制备细胞悬浮液,然后注射到头皮的激素依赖性毛区域。

必要的工具包(A);Rigenera®I类医疗器械(B);耳后皮肤的五个微移植活检组织(C)。
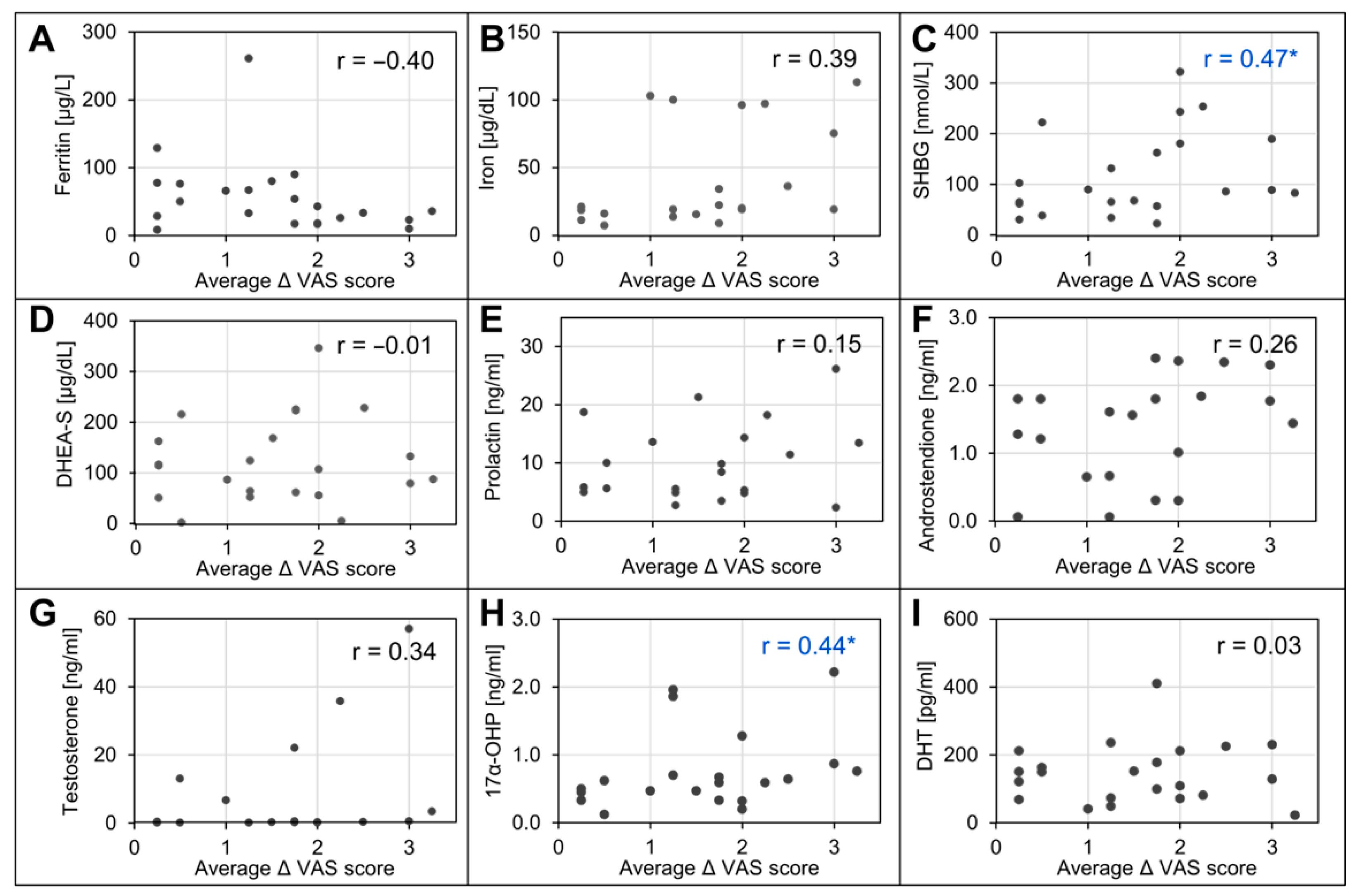
结果:比较术前和术后照片时,视觉模拟量表 (VAS) 显着改善。VAS评分的变化与基线铁蛋白浓度呈中度负相关,与铁浓度呈正相关。改善的结果与较高的性激素结合球蛋白和17α-羟基孕酮基线水平相关。睾酮和双氢睾酮均未显示与VAS评分显着相关。
详细结果
研究患者的基线特征:共有23名患者为女性,平均 (SD) 年龄为40.1 (12) 岁。根据Ludwig分类,I型占60.9%,II型占30.4%,III型占8.8%。在研究开始时,我们对诊断为AGA的患者进行了实验室检查。
表1列出了研究患者的基线特征。符合条件的患者检测结果显示,铁蛋白和铁水平更接近正常下限。所有患者的促甲状腺激素(TSH)水平均符合内分泌妇科标准。性激素分析显示,患者的DHT、硫酸脱氢表雄酮(DHEA-S)、雄烯二酮和睾酮水平没有异常升高,而性激素结合球蛋白(SHGB)浓度处于正常上限。

ACM治疗效果评估:四位独立专家对HFSC治疗前和治疗后六个月的患者头皮照片(图2)进行了评估。此次评估在VAS量表(表2)的基础上显示出显着的改善,平均提高了1.5分。ACM之后,路德维希量表平均提高了1度。治疗后路德维希量表评分和平均VAS评分均显示出显着差异,如图3所示。

- 患者1:一名47岁女性,患有AGA,根据路德维希量表分类为2期头秃。治疗前的照片,中间间隙变宽。ACM六个月后的照片显示头皮中央部分的头发数量和质量都有所改善。
- 患者2:一名26岁女性,患有AGA,根据路德维希量表被归类为第一期头秃。治疗前的照片,头顶头发明显稀疏,额部发际线保持正常。ACM术后六个月后的照片显示头皮顶部的头发密度有所改善。
- 患者3:一名39岁女性,患有AGA,路德维希量表分类为2期。治疗前的照片,中间间隙变宽。ACM六个月后的照片显示头皮中央部分的头发数量和质量都有所改善。

所有四位专家的平均Ludwig评分 ( A ) 和平均VAS评分 ( B )。

结果与基线特征之间的关联:根据Spearman相关系数的计算评估初始血液参数与临床结果之间的关联(图4)。经半数专家评估,Delta VAS评分显示与基线铁蛋白浓度呈中度负相关,与铁浓度呈正相关;然而,当考虑平均Delta VAS评分时,这种相关性并不显着。在性激素中,平均更好的结果与较高的SHGB和17α-羟基孕酮初始水平相关。睾酮和双氢睾酮均未显示与VAS评分显着相关。

结论
鉴于雄激素性脱发的治疗选择有限,对表现出可接受的性能水平的替代疗法的需求不断增加。这项研究为自体干细胞移植治疗雄激素性脱发的潜力提供了宝贵的见解,并强调了继续探索和完善自体干细胞移植手术的重要性。
我们对自体干细胞移植手术的研究表明它既安全又有效,单次治疗六个月后即可产生令人满意的结果。未来的研究应旨在收集证据,以便开发出具有成本效益的方法,同时最大限度地减少患者的治疗负担和费用。此外,需要进行长期研究来评估自体干细胞移植手术随时间推移的持续有效性。
参考资料:Krefft-Trzciniecka, K.; Piętowska, Z.; Pakiet, A.; Nowicka, D.; Szepietowski, J.C. Short-Term Clinical Assessment of Treating Female Androgenic Alopecia with Autologous Stem Cells Derived from Human Hair Follicles. Biomedicines 2024, 12, 153. https://doi.org/10.3390/biomedicines12010153.
免责说明:本文仅用于传播科普知识,分享行业观点,不构成任何临床诊断建议!杭吉干细胞所发布的信息不能替代医生或药剂师的专业建议。如有版权等疑问,请随时联系我。
扫码添加官方微信