根据瑞金医院王刚课题组在General Psychiatry最新公布的一项研究,证实同种异体人脂肪间充质干细胞外泌体治疗阿尔茨海默临床1/2期临床试验的安全性和有效性。
作者认为其疗效不低于或更优于现有市面的药物。
全球首个,瑞金医院证实干细胞外泌体治疗阿尔茨海默症

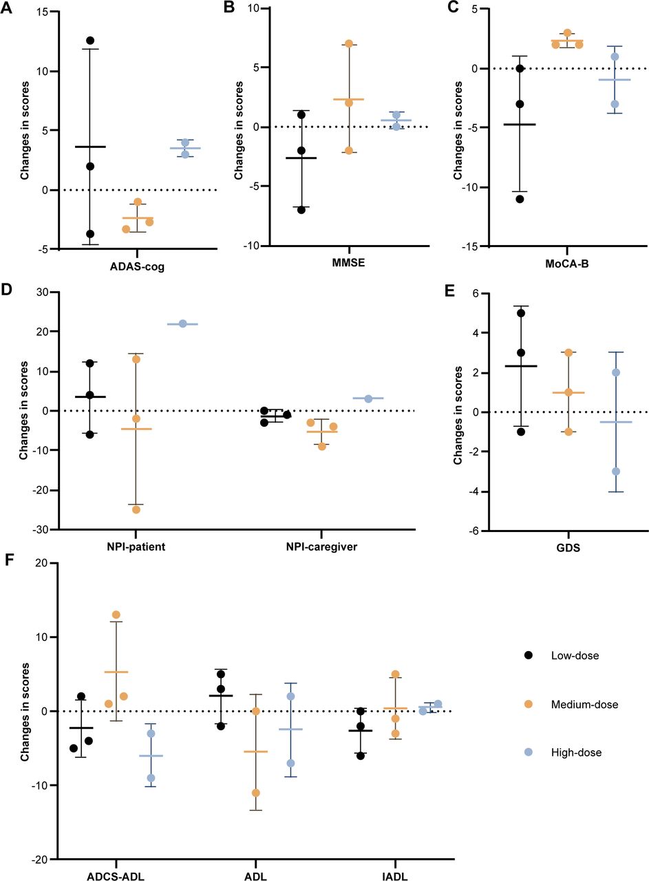
研究团队使用低中高三种剂量的间充质干细胞外泌体对阿尔茨海默症患者进行治疗。

中等剂量组受试者阿尔茨海默病评估量表-认知部分(ADAS-cog)评分在第12周下降了2.33,蒙特利尔认知评估基础量表(MoCA-B)评分增加了2.38,表明认知功能有所改善。
此外,中等剂量组受试者ADAS-cog评分至第36周持续下降3.98分。没有报告不良事件,安全性指标无明显异常。

作者认为间充质干细胞外泌体鼻内给药是安全且耐受性良好的,可以对剂量至少为4×10^8颗粒数的外泌体进行进一步的临床试验。
这项研究是在阿尔茨海默患者中进行了间充质干细胞外泌体的首次临床试验。
作者认为由于可能的后作用效应,在3个月的治疗期后,这种改善可以再维持6个月。
治疗效果可能在一定程度上归因于减缓海马萎缩。
外泌体携带和转移多种具有调节作用的功能分子,如蛋白质、DNA、脂质和RNA,可以改变细胞代谢。在MSC-外泌体的蛋白质组学表征中,已经鉴定了数百种蛋白质,其中一些是特异性细胞类型标记,另一些涉及外泌体与受体细胞结合和融合的调节。还发现了一些促进神经干细胞和其他细胞募集、增殖和分化的因子。此外,在外泌体中发现了广泛的miRNAs,它们可以控制与神经重塑、血管生成和神经发生有关的功能。考虑到这一点,外泌体的作用机理可能是促进AD神经可塑性,改善认知障碍和部分神经替代。
在讨论中,作者也提供了一些有益的经验:
譬如考虑到高剂量组的两名受试者在基线时具有较高的adAS-cog评分,这代表患者给药前的认知状态相对较差,因此推断ahaMSCs-Exos可能对中度至重度AD患者不敏感,至少在8×10^8颗粒数时。尽管认知功能没有改善,但在高剂量组(E007)的受试者中观察到淀粉样斑块负荷减少,这值得深入研究。
此外,两名早发性疾病患者在治疗后都没有出现认知改善。
因此,进一步的研究应集中于轻度AD患者和因AD引起的轻度认知障碍患者。
阿尔茨海默病(AD)是最常见的神经退行性疾病,是痴呆症的主要原因,也是老年人死亡的第五大原因。目前尚无有效的治愈手段。
外泌体是细胞在静息或应激状态下释放的细胞外囊泡,富含脂质、蛋白质和核酸。它们可以通过体液递送到远处区域,并通过3种途径被靶细胞吸收:膜融合、内吞和配体-受体介导的机制。
间充质干细胞(MSCs)衍生的外泌体提供了一些无与伦比的优势,包括低免疫原性、从商业上细胞系大量合成的可获得性、在收集或分化中避免了侵入性以及储存简单等特性。
由于其到达大脑的能力,由间充质干细胞释放的外泌体为开发AD疾病缓解策略带来了新的希望。
早前研究表明侧脑室注射和系统注射间充质干细胞来源外泌体可改善了AD动物的认知障碍。
作者团队已经证实了来自健康志愿者的同种异体人脂肪来源的MSCs外泌体(ahaMSC-Exos)鼻内治疗用于AD小鼠的潜力。
在以每只小鼠鼻内给药后,ahaMSCs-Exos可以通过涉及嗅觉感觉神经元的嗅觉系统快速转运到各个大脑区域。大脑中的ahaMSCs-Exos在给药后1小时达到峰值,并且主要被神经元吸收。在APP/PS1小鼠中,ahaMSCs-Exos表现出神经保护作用,增加神经发生和增强空间记忆。ahaMSCs-Exos似乎也能减少淀粉样β蛋白沉积和抑制小胶质细胞活化。重要的是,ahaMSCs-Exos没有诱导关键器官的形态学改变,表明鼻内给药的安全性。
另一项研究表明,在3xTg小鼠模型中,鼻内注射MSCs外泌体可能通过抑制小胶质细胞活化和增加树突棘密度来改善AD。
这些发现清楚地证明了间充质干细胞外泌体对AD的治疗潜力,并呼吁在临床中进行尝试。
参考资料:
谢X ,宋Q ,戴C ,等同种异体人脂肪间充质基质细胞衍生的外泌体在轻度至中度阿尔茨海默病患者中的临床安全性和有效性:I/II 期临床试验,普通精神病学2023;36:e101143。DOI: 10.1136/gpsych-2023-101143
免责说明:本文仅用于传播科普知识,分享行业观点,不构成任何临床诊断建议!杭吉干细胞所发布的信息不能替代医生或药剂师的专业建议。如有版权等疑问,请随时联系我。
扫码添加官方微信