背景:对于膝骨关节炎 (KOA),通过向膝关节注射骨髓间充质干细胞 (BM-MSC)、脂肪组织间充质干细胞 (AD-MSC) 或脐带间充质干细胞 (UC-MSC) 等治疗方法,已显示出缓解症状的良好前景。然而,哪种类型的间充质干细胞 (MSC) 具有最佳治疗效果仍不确定。
三种间充质干细胞移植治疗膝骨关节炎,哪种细胞和类型更有效?
为此,广州中医药大学附属中山中医医院研究人员系统地搜索了PubMed、OVID、Web of Science和 Cochrane Library,检索日期截至2024年1月1日。
研究评估了五个终点:疼痛的视觉模拟评分 (VAS)、运动范围 (ROM)、全器官磁共振成像评分 (WORMS)、西安大略麦克马斯特大学骨关节炎指数 (WOMAC) 和不良事件 (AD)。使用Stata16.0进行标准荟萃分析和网络荟萃分析。该文献发表在期刊杂志“Journal of Orthopaedic Surgery and Research”上。

旨在以全面评估各种来源和类型的间充质干细胞治疗膝骨关节炎的临床疗效和安全性,并确定最佳策略。
结果
文献选择:通过对4个电子数据库和相关文献中引用的另外18项研究进行全面搜索,我们最初共确定了2397项研究。随后,根据预先定义的纳入标准筛选了标题和摘要,排除了1983项研究。此外,还删除了146项重复研究。这一过程留下了268项试验供进一步考虑。在审查了这些试验的全文后,根据排除标准又排除了131项研究。最终,涉及585名患者的15项研究符合荟萃分析的纳入标准(图1)。

纳入试验的特征:表2总结了纳入试验的特征以及干预类型 。所有纳入的研究表明基线特征无显著差异。这些随机对照试验 (RCT) 涉及585名Kellgren-Lawrence分级为I至IV的患者。其中294名患者接受了关节内注射MSCs,而261名患者接受了传统药物治疗,主要是HA。随访时间为6至48个月不等,大多数在6至12个月范围内。

VAS:疼痛视觉模拟评分;ROM:运动范围;WORMS:全器官磁共振成像评分;WOMAC:西安大略麦克马斯特大学骨关节炎指数;ADs:不良事件
十五项研究中,九项使用自体MSC,其余使用同种异体MSC。其中六项使用来自脂肪组织的MSC,八项使用来自骨髓的MSC,一项使用来自脐带的MSC。在所有研究中,治疗组的细胞移植仅涉及关节内注射。移植的MSC剂量因研究而异,移植频率从1次到4次不等,大多数研究采用单次治疗。
表3概述了纳入研究中使用的MSC移植方案的一般特征。评估的临床结果包括ROM、VAS评分、WOMAC、WORMS和AD。

标准荟萃分析
疼痛VAS评分
十项研究(共319例)报告了VAS评分。分析显示研究之间存在高度统计异质性。根据随访时间(6、12、16和48个月)进行了亚组分析,其中一个亚组的I2超过50%,因此需要采用随机效应模型。荟萃分析表明,与对照组相比,间充质干细胞移植治疗的VAS评分显著降低(图3a)。

aVAS评分;b膝关节ROM;c WORMS评分;d WOMAC;e不良事件
涉及121名患者的三项研究报告了膝关节活动度。I2为0.0%,异质性 p=0.669,表明异质性较低,因此采用固定效应模型进行荟萃分析。结果显示,与对照组相比,MSCs移植治疗组的膝关节活动度显著改善(图3b)。
有三项研究报告了WORMS,研究对象为100名患者。纳入研究之间的异质性较低,因此需要采用固定效应模型。然而,MSCs移植治疗组和对照组之间的WORMS无显著差异(图3c)。
11项研究(共301例)报告了WOMAC总分。分析显示研究间统计异质性较高。根据随访时间(6、12和48个月)进行亚组分析,三分之二的亚组中I2显著性大于50%,因此采用随机效应模型。结果表明 MSCs移植治疗组的WOMAC总分高于对照组(图3d)。
涉及254名患者的8项研究描述了治疗和随访期间的不良事件。没有一项研究报告了具有永久性影响的严重并发症,例如肿瘤、异常组织增生或免疫反应。
最常见的不良反应包括轻微不适、瘀伤、发烧和头痛,这些症状会自行缓解或通过对症治疗得到缓解。荟萃分析显示,纳入研究之间的异质性较低,因此需要使用固定效应模型进行分析。与对照组相比,MSCs移植治疗的不良事件发生率更高(图3e)。其余研究未报告任何不良事件或副作用。
网络荟萃分析
网络图
我们针对这五种结果生成了五个网络图,每个图代表不同的MSCs来源。图4a-e显示了这些比较的汇总网络图 。

亚组网络图:aVAS评分;b膝关节ROM;cWORMS评分;dWOMAC;e不良事件。Auto:自体间充质干细胞,Allo:同种异体间充质干细胞,Con:对照组
疼痛VAS评分
该网络分析了10组成对比较。NMA显示,与传统疗法相比,自体MSCs疗法和异体MSCs疗法的VAS评分均显著降低。然而,自体MSCs疗法和异体MSCs疗法之间没有显著差异(图5a)。自体MSCs疗法的VAS评分最低(SUCRA86.1%),其次是异体MSCs疗法(SUCRA63.8%)。(图5f)

ae森林图代表直接和间接比较;fj不同结果的累积排序曲线下表面。从左到右分别为VAS评分、膝关节 ROM、WORMS评分、WOMAC和不良事件
运动范围 (ROM)
该网络评估了三项研究,其中一项是三组研究。NMA显示,与传统疗法相比,自体MSCs疗法改善了膝关节活动度。然而,同种异体MSCs疗法与传统疗法之间以及自体MSCs疗法与同种异体MSCs疗法之间没有发现显著差异(图5b)。自体MSCs疗法最有可能成为改善膝关节活动度的最佳选择(SUCRA81.7%),其次是同种异体MSCs疗法(SUCRA 40.2%)和传统疗法(图5g)。
全器官磁共振成像评分 (WORMS)
该网络纳入了三篇评估膝关节WORMS的文章。与标准荟萃分析结果类似,在网络荟萃分析中未观察到WORMS评分的显著差异。根据SUCRA等级,自体MSCs治疗理论上是阳性WORMS评分的最佳策略(SUCRA54.6%),其次是异体MSCs治疗(SUCRA53.3%),传统治疗的结果最低(SUCRA42.1%)。(图5c和h)
西安大略麦克马斯特大学骨关节炎指数 (WOMAC)
WOMAC网络纳入了11篇文章。与WORMS网络结果类似,通过网络荟萃分析发现 WOMAC结果无显著差异。根据SUCRA等级,传统疗法是WOMAC评分阳性患者最有效的治疗策略(SUCRA94.1%),其次是自体MSCs疗法(SUCRA28.2%)和异体MSCs疗法(SUCRA 27.7%)。(图5d和i)
不良事件(AD)
八项研究评估了该网络中的不良反应。与传统疗法相比,自体MSCs疗法和异体MSCs疗法均与不良事件增加有关。自体和异体MSCs疗法之间没有显著差异。根据SUCRA值,传统疗法是避免不良事件的最佳选择(SUCRA99.1%),其次是自体MSCs疗法(SUCRA 28.9%)和异体MSCs疗法(SUCRA 22.0%),这可能是最不受欢迎的策略(图5e和j)。
不同类型的间充质干细胞之间的比较
网络图:我们为每个结果生成了五个网络图,每个图代表不同类型的MSC。图6a–e显示了这些比较的总结网络图。

亚组网络图:aVAS评分;b膝关节 ROM;cWORMS评分;dWOMAC;e不良事件。
疼痛VAS评分
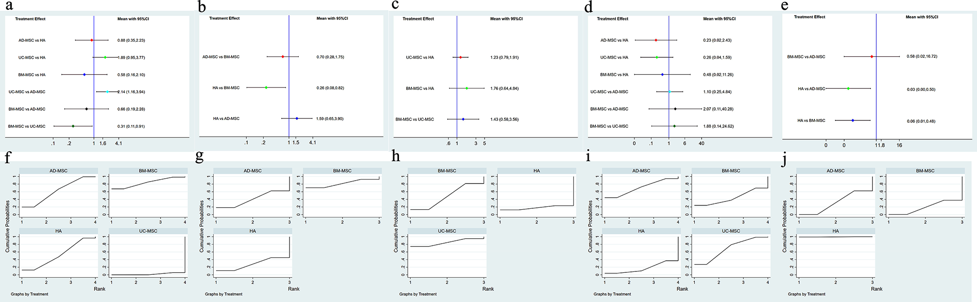
在该网络中分析了五次成对比较。NMA表明,与UC-MSC疗法相比,AD-MSC疗法和BM-MSC疗法的VAS评分显著下降。根据SUCRA等级,BM-MSC疗法是最有效的策略 (SUCRA83.9%),其次是AD-MSC疗法 (SUCRA62.1%)、HA疗法 (SUCRA52.0%),UC-MSC疗法 (SUCRA1.9%) 是最不受欢迎的选择(图7a和f)。

ae森林图代表直接和间接比较;fj不同结果的累积排序曲线下表面。从左到右分别为VAS评分、膝关节 ROM、WORMS评分、WOMAC和不良事件
运动范围 (ROM)
该网络评估了三项研究,包括一项三组研究。NMA显示,与HA疗法相比,BM-MSC疗法改善了膝关节ROM。然而,AD-MSC疗法和HA疗法之间没有显著差异,AD-MSC疗法和BM-MSC疗法之间也没有显著差异(图7b)。就SUCRA排名概率而言,BM-MSC疗法可能是改善膝关节ROM的最佳选择(SUCRA78.0%),其次是HA疗法(SUCRA 41.3%)和AD-MSC疗法(SUCRA30.7%)。(图7g)
全器官磁共振成像评分 (WORMS)
该网络纳入了三篇关于WORMS评分的文章。通过网络荟萃分析发现WORMS评分无显著差异。根据SUCRA等级,UC-MSC疗法(SUCRA94.1%)是针对阳性WORMS评分最有效的治疗策略,其次是BM-MSC疗法(SUCRA 28.2%)和HA疗法(SUCRA27.7%)。(图7c和h)
西安大略麦克马斯特大学骨关节炎指数 (WOMAC)
WOMAC网络荟萃分析纳入了6篇文章。与WORMS网络结果类似,通过网络荟萃分析观察到WOMAC结果无显著差异。根据SUCRA等级,AD-MSC疗法(SUCRA70.6%)可能是WOMAC阳性患者最有效的选择,其次是UC-MSC疗法(SUCRA68.3%)和BM-MSC疗法(SUCRA43.9%)。HA疗法(SUCRA 17.2%)可能是最不有效的治疗选择。(图7d和i)
不良事件(AD)
四项研究评估了该网络中的不良反应。与HA疗法相比,AD-MSC疗法和BM-MSC疗法导致不良反应增加。BM-MSC疗法和AD-MSC疗法之间无显著差异。SUCRA值表明,HA疗法(SUCRA99.6%)是最有效的策略,其次是AD-MSC疗法(SUCRA 31.3%)和BM-MSC疗法(SUCRA19.1%)。(图7e)
讨论
本试验评估了不同来源和类型的间充质干细胞移植对有症状的膝骨关节炎患者的安全性和有效性。我们的研究提供了间充质干细胞移植可有效治疗膝骨关节炎患者的经验证据。具体而言,我们的研究结果强调:
(1) 自体BM-MSC在膝骨关节炎患者的功能改善和疼痛缓解方面表现出最大的改善;
(2) UC-MSC对阳性WORMS最有效,AD-MSC对WOMAC阳性患者最有效;
(3) 与传统疗法相比,自体或同种异体MSC的不良反应更多。据我们所知,这是首次确定KOA最佳MSCs策略的研究,也是BM-MSC、AD-MSC和UC-MSC之间的初步比较。
结论
在间充质干细胞治疗关节炎中的效果优于传统疗法,尤其是增强功能和缓解疼痛。
此外,在比较各种干细胞类型和来源时没有发现显著差异。然而,BM-MSC疗法在改善VAS和ROM方面最有效,而其他类型的MSC在改善功能结果(例如WORMS和WOMAC评分)方面更有效。
对于治疗相关不良事件,HA是最可取的选择,其次是AD-MSC和BM-MSC。虽然这些不良事件通常较轻,但它们可能会对治疗依从性和满意度产生不利影响。
参考资料:Chen, X., Zheng, J., Yin, L. et al. Transplantation of three mesenchymal stem cells for knee osteoarthritis, which cell and type are more beneficial? a systematic review and network meta-analysis. J Orthop Surg Res 19, 366 (2024). https://doi.org/10.1186/s13018-024-04846-1
免责说明:本文仅用于传播科普知识,分享行业观点,不构成任何临床诊断建议!杭吉干细胞所发布的信息不能替代医生或药剂师的专业建议。如有版权等疑问,请随时联系我。
扫码添加官方微信