全球数百万人受尿失禁困扰,干细胞疗法为脊髓损伤导致的神经源性膀胱功能障碍提供了新的治疗方向。
干细胞治疗尿失禁:显著减少发作次数,改善生活质量 | 案例证实
近日,Akhlaghpasand等研究团队在《World Neurosurgery》发表了一项突破性临床研究,结果显示联合细胞治疗可显著改善脊髓损伤导致的神经源性膀胱功能。治疗后6个月,患者尿失禁发作次数明显减少,生活质量评分获得显著提升。

01 神经源性膀胱的治疗挑战
神经源性膀胱是脊髓损伤后最常见的并发症之一,患者面临着巨大的生活挑战和健康风险:
- 频繁尿失禁严重影响社交活动和心理健康
- 排尿功能障碍导致尿路感染风险增加
- 肾功能恶化可能最终需要透析治疗
- 生活质量显著下降,伴有焦虑和抑郁等心理问题
传统管理方法包括间歇性导尿、抗胆碱能药物和膀胱扩大术等,但这些方法只能缓解症状,无法解决根本的神经功能障碍。

02 干细胞治疗的科学基础
干细胞疗法为神经源性膀胱提供了全新的治疗思路:
多重修复机制:分泌多种神经保护和免疫调节因子,包括脑源性神经营养因子(BDNF)、睫状神经营养因子,神经生长因子和神经营养蛋白-3等,这些细胞因子刺激神经生长和再生。
功能恢复作用:促进受损神经组织修复,改善膀胱逼尿肌和括约肌功能协调性,恢复膀胱感觉和容量感知。
03 研究设计与患者特征
患者筛选:共招募了32例患者,只有29例NGB患者进行最终随访(有3例患者失访),其中治疗组13例(男10例),平均年龄35.0 ± 8.8岁,4例颈椎SCI,9例胸部损伤;对照组16例(男10例),平均年龄32.9 ± 7.6,5例颈椎SCI,11例胸部损伤(见表1)。

04 创新性治疗方法
方 法:将雪旺细胞(SCs)和骨髓间充质干细胞(BM-MSCs)混合在6ml生理盐水中,每种细胞类型的浓度为5*106个细胞/mL,然后使用24G针在L4/L5水平进行腰椎穿刺,注射后1小时出院。对照组患者仅接受标准康复治疗,无额外干预。
05 安全性表现良好
治疗安全性结果显示:
不良事件记录:
- 主要包括神经性疼痛、疲劳、感觉异常和痉挛
- 9例不良事件为I级(轻度)
- 5例为II级(中度)
- 所有II级不良事件均通过标准治疗成功恢复
与治疗相关性:
- 所有报告的不良事件中,只有3名患者的感觉异常可能与干预有关
- 无严重不良事件报告
- 无治疗相关退出病例
这些结果表明,鞘内注射联合细胞治疗安全性良好,耐受性高。

06 膀胱功能显著改善
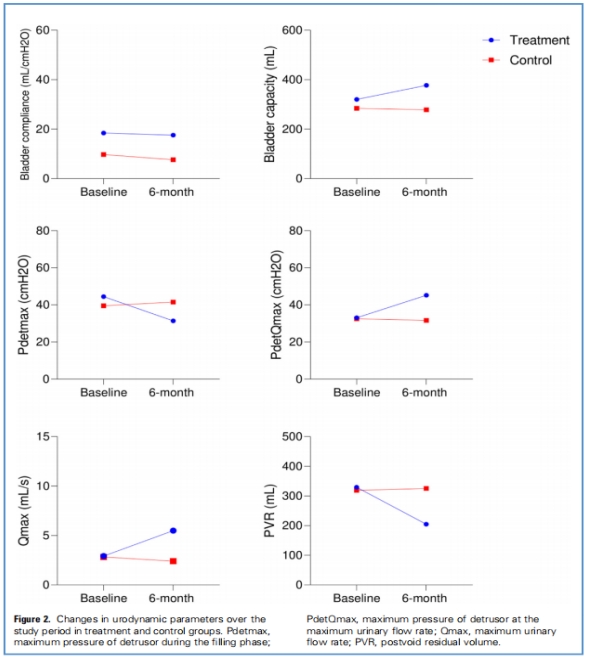
尿动力学参数评估显示:与基线相比,注射后6个月,治疗组最大尿流率时逼尿肌最大压力和最大尿流率显著增加,排尿后残余量和充盈期逼尿肌最大压力显著降低,膀胱容量和膀胱感觉也得到改善,对照组中则没有患者报告此类变化。与对照组相比两组间存在显著差异。(图2)
膀胱功能的改善表明干细胞治疗可能促进了神经通路的重建和膀胱组织的修复。

07 尿失禁发作次数减少
尿失禁和感染:与对照组相比,治疗组每天尿失禁平均发作次数显著减少(治疗组:-2.2± 2.1; 对照组:-0.5±1.2)。治疗组和对照组尿路感染平均发作次数相比,组间变化没有显著差异。
08 生活质量全面提升
尿失禁生活质量(I-QOL)问卷:6个月后,治疗组和对照组I-QOL总分变化有显著差异。此外,I-QOL问卷3个领域(包括回避行为、社会心理影响和社交尴尬)与对照组相比,治疗组在注射后6个月显著改善,I-QOL总分和领域分数的变化如图3所示。

09 研究意义与临床价值
这项研究具有重要临床意义:
治疗策略创新:首次联合使用雪旺细胞和骨髓间充质干细胞,鞘内注射提供直接靶向递送,为神经源性膀胱提供全新治疗思路。
安全性证实:证明联合细胞治疗的安全性,为更大规模临床试验奠定基础。
疗效证明:显示膀胱功能和尿失禁的显著改善,生活质量全面提升,为难以治疗的神经源性膀胱提供新希望。
总 结:这项发表在《World Neurosurgery》上的研究表明,骨髓间充质干细胞和雪旺细胞联合鞘内给药可显著改善脊髓损伤导致的神经源性膀胱功能,减少尿失禁发作次数,提高生活质量,且安全性良好。
随着进一步研究的深入,联合细胞治疗有望成为神经源性膀胱综合管理的重要组成部分,特别是对于那些传统治疗效果有限的患者。该研究为再生医学在泌尿系统疾病中的应用提供了重要证据。
参考资料:
Mohammadhosein Akhlaghpasand, Roozbeh Tavanaei, Farzad Allameh, Maede Hosseinpoor, Hossein Toreyhi,Maryam Golmohammadi, Atieh Hajarizadeh, Alireza Alikhani, Maryam Hafizi, Maryam Oraee-Yazdani,Alireza Zali, Saeed Oraee-Yazdani.Improvement of Neurogenic Bladder Dysfunction Following Combined Cell Therapy with Mesenchymal Stem Cell and Schwann Cell in Spinal Cord Injury: A Randomized,Open-Label, Phase II Clinical Trial.doi.org/10.1016/j.wneu.2024.10.131.
免责说明:本文仅用于传播科普知识,分享行业观点,不构成任何临床诊断建议!杭吉干细胞所发布的信息不能替代医生或药剂师的专业建议。如有版权等疑问,请随时联系我。
扫码添加官方微信