目前骨关节炎的治疗主要集中于缓解疼痛,缺乏软骨修复,效果不佳。透明质酸等粘稠补充剂可以改善症状,但几个月后仍未被注意到。研究人员正在探索干细胞疗法,例如间充质干细胞分泌组和间充质干细胞,它们可以修复软骨损伤。研究的目的是评估和比较源自脐带间充质干细胞 (UC-MSC) 的分泌蛋白组与透明质酸 (HA) 的有效性。
干细胞移植治疗可改善膝骨关节炎的临床疗效并改变生物标志物
近日,国际期刊杂志《临床医学杂志》发表了一篇干细胞移植治疗可改善膝骨关节炎的临床疗效并改变生物标志物的文献综述。

方法:一项开放标签临床试验,将30名膝骨关节炎患者分为两组,接受UC-MSC分泌组和透明质酸剂量。该研究使用VAS和WOMAC评估临床结果,并测量治疗前后的MMP-3和TGF-β1水平。
干细胞治疗骨关节炎的临床结果
基线特征:研究样本由30名满足研究开始时预定纳入标准的个体组成。所有参与研究的参与者都顺利完成了实验任务,如图1所示。参与者在2022年7月至12月期间被招募并随后进行监测。参与者被随机分配,然后分为两组:一组接受UC-MSC分泌组 (n=15),而另一组接受HA (n=15)。

在这项研究中,两组人口统计学变量之间没有发现任何显着差异,包括性别、体重指数 (BMI)、体力活动目标、骨关节炎 (OA) 的Kellgren Lawrence等级或25(OH) 浓度)D。该研究的大多数参与者主要是女性,骨关节炎分级为Kellgren Lawrence2-3级。此外,他们报告参加的体力活动水平较低,并且血清25(OH)D水平不足。
表1:简要概述了患者的基本特征。

临床结果:脐带间充质干细胞分泌组和治疗后HA结果的临床评价包括通过主观评价和客观评价对患者进行评估。这些评估在多个时间点进行,包括初始评估、治疗第1-5周以及12周治疗期结束后的一周。
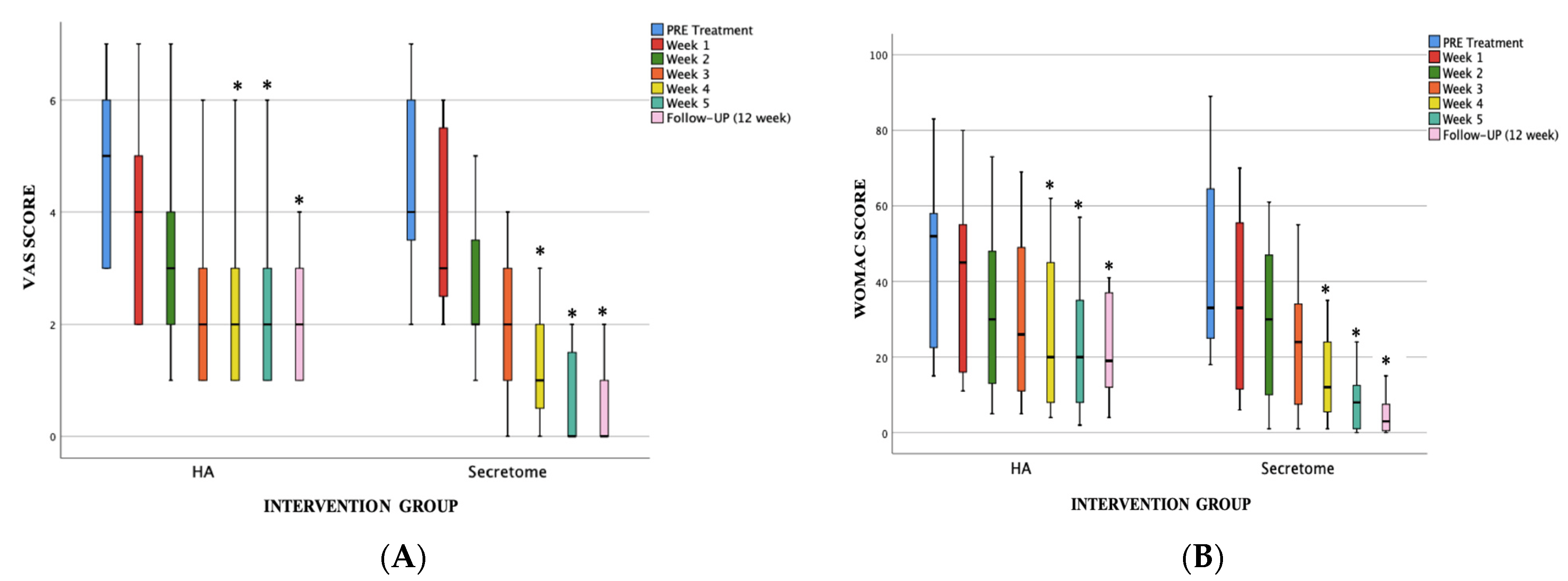
本研究旨在评估这种干预的临床结果。根据使用视觉模拟量表(VAS)和西安大略大学和麦克马斯特大学骨关节炎指数(WOMAC)对疼痛水平的评估(见图2),观察到脐带间充质干细胞组和透明质酸组均表现出疼痛程度。12周内平均疼痛评分降低。在脐带间充质干细胞组中,通过VAS−4和WOMAC−41测量,膝关节OA评分显着下降。这种减少被确定大于在透明质酸组中观察到的减少,透明质酸组实现了VAS-3所示的平均疼痛减少和WOMAC-21的平均疼痛减少。统计分析显示,UC-MSCSecretome和透明质酸治疗前后疼痛评分平均下降(通过VAS和WOMAC测量)存在显着差异。

治疗的临床效果将根据两种成熟的测量工具进行评估:(A) 视觉模拟量表 (VAS) 和 (B) 西安大略和麦克马斯特大学骨关节炎指数 (WOMAC)。
每周进行一次评估,以确定使用VAS和WOMAC指标测量疼痛强度的最佳时间(见图3)。根据结果,第三次注射UC-MSC分泌组显示VAS和WOMAC评估有统计显着性下降 (p<0.05)。

根据(A)视觉模拟量表(VAS)和(B)西安大略和麦克马斯特大学骨关节炎指数(WOMAC)评估治疗的临床效果。
生物标志物结果
经过12周的监测,发现UC-MSC分泌组和透明质酸组表现出MMP-3比率下降和TGF-β1浓度上升。在UC-MScSecretome组中,MMP3比率显示降低了-2.81ng/mL,而TGF-β1水平显示增加了10,221.60pg/mL,与透明质酸组相比更高。数据统计分析(图4)显示UC-MSC分泌组和透明质酸干预前后MMP-3减少率和TGF-β1增加率存在显着差异。

该研究检查了治疗评估前和治疗后12周的 ( A ) MMP-3和 ( B ) TGF-β1的平均血液水平。
讨论
骨关节炎引起的膝盖疼痛症状常常促使人们寻求医疗保健。疼痛的严重程度可能表现出取决于关节损伤程度的变异性,并且在个体和关节类型之间存在差异。关节内注射的主要目的是减轻疼痛。据我们所知,这项研究是第一个评估在两个不同患者组中施用UC-MSC分泌组和HA的比较效果的临床试验,评估主观结果和生物标志物。
从初次注射后一周开始,一直持续到注射后12周,两组患者的VAS和WOMAC评分均表现出统计学上的显着改善。根据研究结果,第三次施用UC-MSC分泌组导致VAS和WOMAC评分出现统计上显着的降低。在UC-MSCSecretome组中,平均VAS评分从5显着下降至1,即12周后较基线下降80%。相比之下,透明质酸组报告VAS疼痛从5降低至2,相当于降低60%。在整个12周期间,两组的WOMAC分数都有显着提高。
UC-MSC Secretome组的平均WOMAC评分从46分显着下降至5分,12周后较基线下降89%。相比之下,透明质酸组观察到从45减少到21,相当于减少了约47%。根据既定标准,达到这种水平的疼痛减轻表明与慢性疼痛相关的临床研究取得了成功,该标准认为疼痛减轻至少30%表明存在相当大的临床意义差异。
此外,两组患者在临床获益的同时,在生化检测方面也发生了变化。本研究的结果表明,与接受透明质酸治疗的组别相比,接受UC-MSC分泌物关节内注射的组别在注射后12周内,MMP-3水平出现了统计学意义上的显著下降,而TGF-β1水平则有所上升。
多项研究表明,骨关节炎 (OA) 疼痛的减轻可能与关节炎症的下调有关。这种效应被认为是由于抑制核κ因子B (NF-κB)和环氧合酶-2 (COX-2)所致,这两者都是炎症途径的重要组成部分,对成骨细胞祖细胞的激活有直接影响细胞和软骨细胞。
图5说明了UC-MSC分泌组在骨关节炎 (OA) 进展中的关键作用。UC-MSC分泌组已被认为对软骨结构具有有益的影响。这种效应可归因于多种生长激素(TGF-β1)的存在,这些激素能够直接刺激软骨细胞增殖,从而促进软骨再生。此外,TGF-β1信号传导通过抵消促炎细胞因子的分解代谢作用来保护软骨破坏。特别是,在透明质酸组中没有观察到这种生长促进特性。

结论
本研究结果表明,基于VAS和WOMAC指标,脐带间充质干细胞分泌组和透明质酸的施用有效影响膝骨关节炎患者疼痛的减轻,与透明质酸相比,脐带间充质干细胞分泌组的疼痛减轻更显着。在有利于UC-MSC分泌组的主观结果中实现显着差异,生化测量中存在MMP-3减少和TGF-β1增加的趋势。我们建议进行更多高质量的研究来支持这些结果。
参考资料:Partan, R.U.; Putra, K.M.; Kusuma, N.F.; Darma, S.; Reagan, M.; Muthia, P.; Radiandina, A.S.; Saleh, M.I.; Salim, E.M. Umbilical Cord Mesenchymal Stem Cell Secretome Improves Clinical Outcomes and Changes Biomarkers in Knee Osteoarthritis.J.Clin.Med.2023,12,7138. https://doi.org/10.3390/jcm12227138。
免责说明:本文仅用于传播科普知识,分享行业观点,不构成任何临床诊断建议!杭吉干细胞所发布的信息不能替代医生或药剂师的专业建议。如有版权等疑问,请随时联系我。
扫码添加官方微信