概述:间充质干细胞(MSCs)在治疗糖尿病患者方面具有巨大潜力,但治疗效果并不总能达到。特别是,临床上对间充质干细胞治疗2型糖尿病的调控因素仍不甚了解。
上海长海医院在期刊杂志《Stem Cells Translational Medicine》发表了一篇“将人类脱落牙齿干细胞注入2 型糖尿病患者体内的治疗潜力取决于基础血脂水平和胰岛功能”的临床研究案例。

上海长海医院内分泌科研究选取24例接受胰岛素治疗的2型糖尿病(T2DM)患者,在6周内接受3次人脱落乳牙(SHED)干细胞静脉输注,并进行12个月的随访。
我们观察到间充质干细胞移植后患者糖化血清白蛋白水平(P<0.05)和糖化血红蛋白水平(P<0.05)显著降低。治疗结束时和随访期的总有效率分别为86.36%和68.18%。3例患者在间充质干细胞移植后停止胰岛素注射。馒头餐试验显示,患者餐后2小时血清C肽水平显著高于基线水平(P<0.05)。进一步分析发现,血胆固醇水平高、C肽基线水平低的患者对SHED移植反应较差,部分患者在SHED移植后出现短暂性发热(11.11%)、乏力(4.17%)或皮疹(1.39%),但均能很快缓解。
综上所述,间充质干细胞输注是一种安全有效的改善2型糖尿病患者糖代谢和胰岛功能的治疗方法,血脂水平和基线胰岛功能可能是影响2型糖尿病患者MSC移植疗效的关键因素。
临床总结:间充质干细胞 (MSC) 在治疗糖尿病患者方面具有巨大潜力,但治疗效果并不总是能达到。特别是,在这种情况下调节MSC治疗的临床因素在很大程度上是未知的。这项研究证实,人类脱落乳牙干细胞移植是一种简单、安全、有效的糖尿病患者治疗方法。血脂水平和基线胰岛功能可能是影响这些患者MSC 移植治疗结果的关键因素。
介绍
糖尿病是日益严重的全球性流行病。根据国际糖尿病联盟的数据,2017年全球20岁以上糖尿病患者人数已达4.249亿,预计到2045年患者总数将达到6.286亿。
2型糖尿病( T2DM )占所有糖尿病病例的90%以上。尽管其发病机制尚未完全阐明,但β细胞的功能障碍在其发生、发展中起着关键作用。
现有的降糖药物,包括胰岛素,主要用于控制高血糖、延缓并发症的发展,但并不能有效逆转胰岛β细胞的进行性减少及衰竭。促进胰岛β细胞再生,恢复内源性胰岛素分泌可能是治愈糖尿病的理想方法。

既往研究表明,间充质干细胞(MSCs)因其巨大的临床潜力而脱颖而出,因为它们可能能够恢复胰岛β细胞的功能,并且具有许多优势,例如来源容易、采集时创伤小、免疫原性低。因此,间充质干细胞治疗在糖尿病研究领域引起了极大关注。
来源于成人牙齿(牙髓干细胞 [DPSC])或乳牙(人脱落乳牙干细胞 [SHED])的牙髓 MSCs 具有形成细胞集落的能力,并表现出强大的增殖能力。
尽管SHED和DPSC在临床应用中具有资源丰富、易获取、副作用发生率低、不存在伦理争议等诸多优势,但目前尚无研究证实SHED或DPSC治疗糖尿病的临床疗效。本研究旨在评估同种异体乳牙干细胞移植对2型糖尿病患者的安全性和有效性,并评估影响SHED疗效的潜在因素。
上海长海医院内分泌科:干细胞治疗2型糖尿病患者的潜力取决于基础血脂水平和胰岛功能
主题:2018年5月至8月,上海长海医院内分泌科共纳入24例2型糖尿病患者。
移植和随访:本研究分为筛选期、治疗期和随访期。筛选期为1周,符合条件的患者在筛选后1周内入组。患者在42天的治疗期内接受3次SHED静脉输注,第一次输注在入组时安排,第二次和第三次输注分别安排在第一次输注后1周和4周。
SHED输注的剂量是根据我们以前使用间充质干细胞治疗自身免疫性疾病患者的研究而选择的。随访期包括第三次SHED输注后1、2、3、6、9和12个月的检查。在研究期间,根据血糖水平的变化调整胰岛素剂量,而如果患者没有副作用或已停止注射胰岛素,则不调整口服降糖药的种类和剂量。
研究方法:入组当天,我们对所有入组患者进行自我管理培训,包括饮食和运动对糖尿病的重要性以及低血糖的常见症状。为患者发放统一的血糖监测仪。在随访期间,检查并加强患者的自我管理意识和能力。
本研究以胰岛素日剂量为主要评价指标,当胰岛素日剂量较基线减少≥50%时,评估为显效;当胰岛素日剂量较基线减少≥20%但<50%时,评估为有效;当胰岛素日剂量较基线减少<20%时,评估为无效。HbA1c、FBG及连续血糖监测结果的变化被用作次要疗效评价指标。胰岛素抵抗指数(HOMA-IR)通过公式FBG(mmol/L)×空腹胰岛素(mmol/L)/22.5计算。
结果
代谢指标:在入选的24名T2DM患者中,有2名患者在第三次随访后退出。患者的基线信息如表1所示。SHED的特征是通过评估典型的MSC表型,包括形态、表面标志和多分化功能。
治疗期间,患者的GSP水平与基线水平相比显著降低(P<0.05)。治疗结束一个月后,GSP水平也显著低于基线水平(P<0.05),与治疗结束时的数值相似(图1A)。治疗结束后2周,与基线水平相比,HbA1c水平也显著降低(P<0.05)。
HbA1c的这种降低一直维持到第三次随访(第三次SHED输注后12周)。此后,直至随访结束,HbA1c水平仍然低于基线水平,但没有统计学差异(图1B)。治疗期间,FBG水平显著低于基线水平,随后呈上升趋势,与基线水平相比没有统计学差异(图1C)。然而,患者自我监测的空腹CBG值在随访期间略有波动,且无统计学差异(图1D)。

缩写:ALT,丙氨酸氨基转移酶;AST,天冬氨酸氨基转移酶;BMI,身体质量指数;eGFR,估计肾小球滤过率;FBG,空腹血糖;FCP,空腹C肽;FIN,空腹胰岛素;HbA1c,糖化血红蛋白;HDL-C,高密度脂蛋白胆固醇;LDL-C,低密度脂蛋白胆固醇;P2hBG,餐后2小时血糖;P2hCP,餐后2小时C肽;P2hIN,餐后 2 小时胰岛素;SCr,血清肌酸;TC,总胆固醇;TG,甘油三酯。

A:患者从基线到治疗期结束后1个月的GSP水平。B:研究期间HbA1c水平的变化。C、D:研究期间患者的FBG水平(C)和自我监测的空腹CBG值(D)。CBG,毛细血管血糖;FBG,空腹血糖;GSP,糖化血清白蛋白;HbA1c,糖化血红蛋白
分别于第一次SHED输注前、治疗期结束时及第三次SHED输注后3、6、9、12个月进行馒头餐试验。治疗期结束时及随访期间,餐后1、2小时血糖均低于基线水平,并在治疗期结束后3个月达到最低水平(图2A);SHED移植导致空腹C肽(FCP)水平升高,但差异无统计学意义(图2B)。治疗期结束时,餐后2小时C肽(P2hCP)水平明显高于基线水平,此后呈下降趋势,但在随访结束时仍高于基线水平,无统计学差异(图2B);HOMA-IR在治疗期结束时和随访期间均高于基线水平,但差异无统计学意义(图2C)。

A、患者治疗前、治疗期结束时及第三次输注人脱落乳牙干细胞后3、6、9、12个月的FBG、P1hBG、P2hBG水平。
B、研究期间FCP、F1hCP、F2hCP水平的变化。
C、研究期间患者HOMA-IR的变化。
FBG,空腹血糖;FCP,空腹C肽;HOMA-IR,胰岛素抵抗指数;P1hBG,餐后1小时血糖;P1hCP,餐后1小时C肽;P2hBG,餐后2小时血糖;P2hCP;餐后2小时C肽
SHED移植后TC、LDL-C水平逐渐下降, 第2次、第3次SHED移植后2周与基线水平相比差异均有统计学意义。血TG水平在观察期间无明显变化(图3)。ALT、AST、eGFR、SCr水平在正常基线范围内,随访期间无明显变化(数据未显示)。

治疗效果
共有22例患者完成了研究,研究者通过患者信息评估患者每日胰岛素使用量。结果显示,治疗期间患者每日胰岛素剂量明显减少,治疗结束时与基线相比减少了35.34%。在随访期间,患者每日胰岛素剂量进一步减少,与基线水平相比,治疗期结束后3、6、9个月患者每日胰岛素剂量分别减少了51.18%、43.39%、39.39%。此后剂量相对稳定,未见明显减少(图4A)。

A、研究期间24例患者每日胰岛素剂量变化。B、22例患者SHED移植治疗疗效分析。
每日胰岛素注射剂量是本研究的主要疗效评价标准,治疗期结束时总有效率86.36%(19/22)。2例患者在治疗期间停止注射胰岛素,治疗期结束后6个月的总有效率81.82%(18/22)。另有1例患者在随访期间停止注射胰岛素,截至研究结束时,总有效率68.18%(15/22),其中3例患者停止注射胰岛素(图4B)。其余4例患者的胰岛素注射频率与治疗前相比亦有所减少。
相关性分析
通过数据分布图确定各指标阈值后,进行初期及终点双因素相关性分析。结果显示,干细胞移植前血糖水平与疗效具有相关性,入选患者HbA1c<8.5%治疗后,每日胰岛素剂量明显减少(图5A)。患者治疗前的胰岛功能状态与治疗后胰岛功能恢复程度密切相关,FCP>1.7ng/mL、P2hCP>3ng/mL患者治疗后胰岛功能恢复较好(图5B、C)。此外,干细胞治疗前TC<5mmol/L或TG≤1.5mmol/L或LDL-C<3.2mmol/L的患者,每日胰岛素剂量明显减少(图5D-F)。

A:干细胞移植前HbA1c水平影响研究结束时每日胰岛素剂量。
B、C:基线FCP(B)和P2hCP(C)水平影响研究结束时FCP水平。DF、患者治疗前的TC(D)、TG(E)、LDL-C(F)水平影响研究结束时每日胰岛素剂量。
FCP,空腹C肽;HbA1c,糖化血红蛋白;IN,胰岛素;LDL-C,低密度脂蛋白胆固醇;P2hCP,餐后2小时C肽;TC,总胆固醇;TG,甘油三酯
不利影响
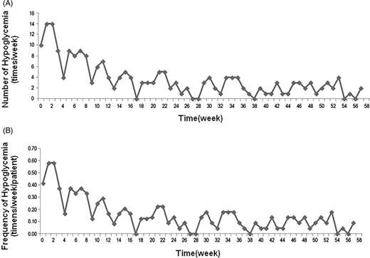
低血糖是研究期间最常见的不良事件。所有24例患者的低血糖发生频率在治疗期间均增加,达到峰值0.51次/周/例。在随访期间,所有22例患者的低血糖发生频率均明显降低。SHED移植后6个月,低血糖平均发生频率约为0.09次/周/例,与治疗前水平相似(图6A,B)。

除低血糖外,治疗期间其他常见不良反应为短暂性发热(11.11%)、乏力(4.17%)、皮疹(1.39%)。这些不良反应均发生在SHED移植后24小时内,经针对症状进行相应规范治疗后缓解。随访期间,1例患者被确诊为颈椎病、肩周炎、足底出血。另2例患者出现双足骨折,发生率为8.33%(2/24)。这些疾病及发生率与干细胞治疗无相关性。
讨论
SHED是从儿童脱落的乳牙中提取的MSCs,具有极强的增殖能力。本研究旨在探讨SHED能否改善2型糖尿病患者的糖代谢和胰岛β细胞功能。研究结果显示,间充质干细胞移植可改善常规注射胰岛素的2型糖尿病患者的血糖和血脂水平。此外,间充质干细胞移植可部分改善胰岛β细胞功能,并显著减少每日胰岛素剂量,部分患者甚至可停止注射胰岛素。
既往研究表明,干细胞治疗可有效控制2型糖尿病患者的血糖水平,改善患者的高血糖状态。多中心数据显示,MSC移植显著降低HbA1c,但对FBG无影响。本研究发现SHED移植后GSP和HbA1c水平均明显改善,尤其治疗期和随访前3个月的HbA1c水平与基线水平相比明显降低,提示SHED可在较长时间内有效改善胰岛β细胞功能和血糖水平,与既往报道一致。总体而言,MSC治疗后HbA1c改善水平较难维持,可能与MSC来源、剂量、移植频率以及受者免疫微环境等多种因素有关,其详细机制有待进一步研究。
目前尚无标准方法确定干细胞治疗糖尿病的疗效,本研究以胰岛素日剂量作为评价干细胞治疗疗效的主要指标。结果显示,胰岛素日剂量自治疗开始逐渐减少,在治疗期结束3个月时达到最低水平。在1年随访结束时,仍在使用胰岛素的患者胰岛素日剂量仍仅为基线水平的60.63%,3例患者已完全停止注射胰岛素。治疗期结束时总有效率86.36%,1年随访总有效率68.18%,提示间充质干细胞的治疗效果可以维持较长时间。治疗期间GSP和HbA1c水平明显下降,提示糖代谢可能得到改善。
由于胰岛素剂量是评价2型糖尿病治疗效果的主要指标,因此我们发现干细胞输注后随访期间胰岛素使用量稳定减少。这些结果表明干细胞疗法可能是治疗2型糖尿病的一种有前途的方法。此外,多种因素可能影响葡萄糖代谢,包括患者的生活方式、情绪和并发症。更高的SHED输注频率和/或协同调节受体脂质微环境可能是进一步改善葡萄糖代谢的候选方法。
结论
- 输注人类脱落乳牙干细胞是治疗2型糖尿病患者的安全有效的方法。
- 输注前血糖、血脂的控制有助于提高干细胞输注的疗效。
- 具有残留胰岛β细胞功能的患者从干细胞输注中受益更多。
参考资料:Wenwen Li, Xuan Jiao, Jingyun Song, Bingdong Sui, Zhili Guo, Yingji Zhao, Jun Li, Songtao Shi, Qin Huang, Therapeutic Potential of Stem Cells from Human Exfoliated Deciduous Teeth Infusion into Patients with Type 2 Diabetes Depends on Basal Lipid Levels and Islet Function, Stem Cells Translational Medicine, Volume 10, Issue 7, July 2021, Pages 956–967, https://doi.org/10.1002/sctm.20-0303
免责说明:本文仅用于传播科普知识,分享行业观点,不构成任何临床诊断建议!杭吉干细胞所发布的信息不能替代医生或药剂师的专业建议。如有版权等疑问,请随时联系我。
扫码添加官方微信