在医学探索的漫漫长路中,帕金森病(PD)始终是一座横亘在患者与健康之间的险峻高山。多年来,传统治疗手段虽能在一定程度上缓解症状,却难以从根本上阻止疾病的进展。随着生命科学领域的蓬勃发展,干细胞治疗技术宛如一颗冉冉升起的新星,为攻克帕金森病带来了新的曙光。越来越多的目光聚焦于此,期望能从干细胞的神奇特性中找到治愈帕金森病的密钥。
近期,《临床神经科学杂志》发表了一项“面部移植脂肪源性间充质血管成分细胞在两名帕金森病患者中持续临床改善”的临床研究的文章。

研究对2例PD患者开展治疗。将含6000万个有核细胞的自体脂肪衍生基质血管部分(SVF)细胞制剂,植入患者面部肌肉与鼻腔。采用PDQ – 39、UPDRS 及系列视频盲法评估,时长分别为5年(患者1)与1年(患者 2)。
结果显示,患者运动与非运动症状均有定性改善,PDQ-39分数下降,服药后UPDRS运动评分降低,部分患者药物剂量减少。停药后UPDRS 评分与治疗前服药时相近。该初步研究表明,SVF制剂局部注射可为PD患者带来长期临床益处,尽管机制不明,但值得深入研究。
面部移植间充质干细胞治疗2例帕金森病患者,患者临床症状持续改善
目前,帕金森病(PD)的医学治疗主要聚焦于缓解症状,而细胞疗法因具备改善疾病的潜力,在神经退行性疾病的临床应用中愈发受到关注。多能间充质干细胞 / 基质细胞(MSC)最初在成人骨髓中被发现,后在多种成人组织中也有分布,包括脂肪组织。从脂肪组织经酶消化、浓缩后可获取基质血管部分(SVF),它是由多种细胞混合而成,脂肪来源的SVF细胞能分泌多种具有免疫调节和营养活性的旁分泌因子。

此前有研究报道,在神经退行性疾病中,静脉注射脂肪来源干细胞(ASC)虽有一定效果,但静脉途径存在到达目标部位的有效细胞数量减少的问题,尤其在试图抵达中枢神经系统(CNS)时更为明显。面部组织血供丰富,其静脉引流至眼科和眶周循环,为细胞产品进入脑循环提供了潜在途径,鼻腔给药后细胞制剂也可快速到达蛛网膜下腔。
本文介绍了两例有症状的PD患者病例,在将脂肪来源的SVF细胞局部注射到面部软组织后,患者症状得到了持续改善。
材料和方法
所有临床程序均符合人体实验负责委员会(机构和国家,尼加拉瓜国立自治大学 – 莱昂分校)和 1975 年《赫尔辛基宣言》(2000 年修订)的伦理标准。本案例研究中的参与者已获得知情同意。患者也同意发表这项研究。
临床评估
术前和术后评估采用以下方法进行:(1)牛津大学帕金森病生活质量量表(PDQ-39,图1),(2)临床神经系统检查和统一帕金森病评分量表(UPDRS,图2)。连续 UPDRS 评分通过视频记录。为准备发表,我们获取了停药(未服用多巴胺能药物或抗胆碱能药物12小时以上)和用药视频。根据标准计算,将药物剂量转换为左旋多巴等效日剂量 (LEDD) 。

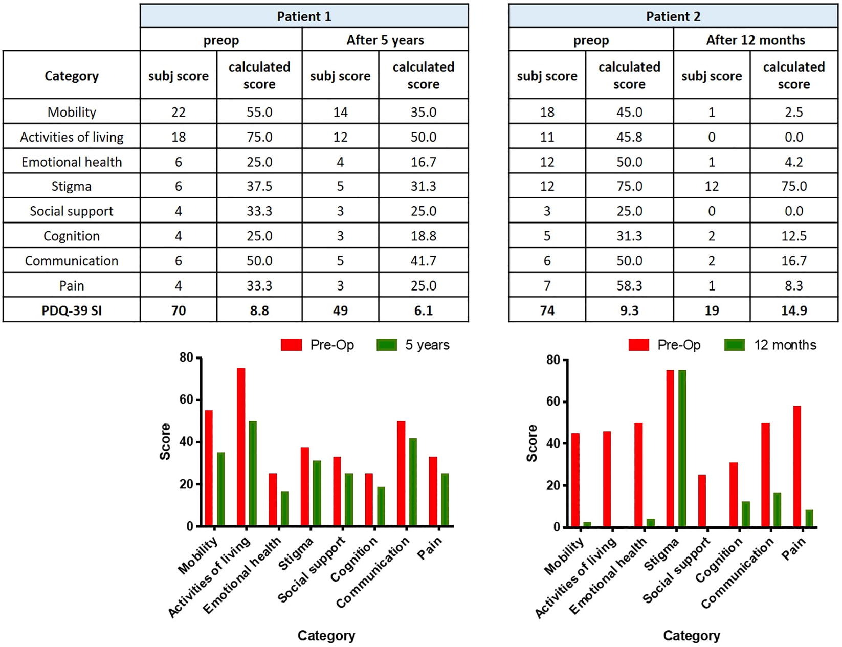
患者在注射自体脂肪来源的基质血管成分 (SVF) 细胞后接受测试时,所有领域均有所减少或持平,其中活动能力和日常生活活动能力领域的减少最为明显。

随着自身产量的减少,左旋多巴需求量通常也会随着时间推移而增加。运动评分通常也会增加,尽管会通过增加剂量而改善。在这里,我们看到的是症状严重程度评分在药物需求量稳定到下降的背景下稳定到下降。与最初的用药评分相比,两名受试者的治疗后停药评分 (12小时洗脱期) 也较低。蓝线表示受试者的注射。LEDD=左旋多巴等效日剂量。UPDRS=统一帕金森病评定量表第3部分 (运动分量表)“停药”定义为停用所有抗帕金森病药物>12小时。散点图中给出的所有分数均为用药分数。
我们在这里记录了两名PD患者的积极临床效果,他们接受了自体脂肪来源的基质血管部分(SVF)细胞制剂治疗,植入面部和鼻腔。两名帕金森病患者将加工后的SVF中的6000万个有核细胞移植到面部肌肉和鼻子中。使用PDQ-39、UPDRS进行长达5年(患者1)和1年(患者2)的连续评估。
间充质干细胞治疗帕金森病的临床结果
患者基本情况
患者1:患者1是一名72岁的男性,患有以震颤为主的PD。
2009年,他的发病症状是左手震颤。
2010年,他出现左颈肩肌张力障碍和左腿僵硬,后者影响了他的步态和驾驶能力。随后,他被诊断出患有PD,并开始接受治疗(卡比多巴/左旋多巴)。到2012年,他变得难以从椅子上站起来、穿裤子或扣衬衫扣子。
2013年,延髓功能障碍变得明显,言语恶化、面部掩蔽和流涎更加明显。由于他的病情迅速恶化,2014年,尼加拉瓜国立大学选中该患者参加概念验证试点试验,测试使用SVF细胞作为该疾病的即时治疗替代方案。
患者2:患者2为50岁女性,2010年出现躯干和下肢僵硬症状。她被诊断患有PD并开始接受治疗(卡比多巴/左旋多巴)。到2015年,她开始出现行走困难,行走缓慢,右脚拖拽感比左脚更强烈。她出现了右脚静止性震颤。基于患者 1 的治疗结果令人鼓舞(见下文),她也参加了上述试点研究。
间充质干细胞治疗帕金森病的效果
患者1:注射细胞后,患者在两周后注意到主观改善,这种改善在五年后仍然持续。据患者称,这些包括运动改善(步态改善、坐立和弯腰、餐具使用、书写、面部动画、声音调节和音量)和非运动改善(皮肤干燥改善、流涎减少、性功能和性欲改善以及疲劳减少)。UPDRS3和药物剂量变化如图2A所示,检查视频作为补充材料提供(不幸的是,没有获得患者1的治疗前视频)。
患者2:注射细胞后,患者报告称其坐姿、在床上翻身的能力以及精细运动技能和面部动画方面均有主观改善。睡眠模式得到改善。她的右脚震颤有所改善。UPDRS3和药物剂量变化如图2B所示。所有UPDRS分数和检查视频均作为补充材料提供(表1)。

有多种证据支持全身性施用MSC作为PD的新疗法这一概念。人类脂肪间充质干细胞 (hASC) 可分化为神经元样细胞。这些细胞经静脉注射后,已被证实会迁移到帕金森病病导致的脑损伤区域。
我们在此介绍了两例PD患者,他们在面部软组织局部注射脂肪来源的SVF细胞后表现出长期神经反应。患者主观上早在 2周就注意到了改善,主观上在4-6个月时达到峰值。两名患者仍报告了持续的益处(患者1治疗后5年,患者2治疗后12个月)。这些病例表明,面部注射的SVF细胞在原位存活,并可能迁移到它们产生在黑质纹状体通路水平发挥营养作用的因子的部位。
结论
本病例凸显了SVF细胞移植到面部的不寻常临床结果。症状和体征可能很快显现,并且随着时间的推移具有潜在的长期稳定性。导致这些结果的机制尚不清楚。有必要对使用SVF治疗PD进行进一步研究,以验证疗效并阐明最佳给药途径和潜在作用机制。
参考资料:[1]https://www.jocn-journal.com/article/S0967-5868(20)31478-8/fulltext#f0010
免责说明:本文仅用于传播科普知识,分享行业观点,不构成任何临床诊断建议!杭吉干细胞所发布的信息不能替代医生或药剂师的专业建议。如有版权等疑问,请随时联系我。
扫码添加官方微信