干细胞疗法作为2型糖尿病的新兴治疗方向,全球多项临床试验正在积极推进中。据统计,中国约有1.4亿成人患有2型糖尿病,传统治疗手段虽能控制血糖,却难以逆转疾病进程,患者终身面临服药和并发症风险。
相比媒体报道”干细胞治愈糖尿病”的突破时,真实患者的亲身经历和感受更能反映这些创新疗法的实际效果和影响。
本文将带您走进参与干细胞治疗的4位2型糖尿病患者的故事:从多年依赖胰岛素的“老糖友”逐步停药,到长期血糖失控患者重获稳定,他们的亲身经历或许能让我们更直观地看到,干细胞疗法正悄然开启新的可能。

4位患者亲述:参与2型糖尿病干细胞临床试验的完整经历与效果!
案例故事:4位患者的临床试验之旅
案例1:央视报道,两位干细胞治疗糖尿病的成功案例
2009年11月25日,央视CCTV10曾播出一期节目《再见,糖尿病》,讲述了两例干细胞治疗糖尿病的成功案例。[1]
患者1:9年糖尿病,用了干细胞,告别胰岛素
不幸遭遇车祸的李先生被救护车送入北京航天医院进行救治。有着九年糖尿病病史的李先生已经出现视网膜病变等症状,而车祸给本来就不堪一击的他雪上加霜。车祸后,如果高血糖不能马上降下来,则糖尿病引发的酸中毒可能会直接危及他的生命。
此时,高血糖会对心脏、大脑、肾脏等重要器官造成不可逆转的损害,医生迅速给李先生进行胰岛素注射,暂时将他的血糖降低成之前的一半,但李先生的血液还是像高浓度的糖水,情况仍然十分危险。
一次偶然的机会,李先生得知,利用干细胞移植技术可以治疗糖尿病,他抱着试一试的想法找到了医生,在身体外伤恢复之后,医生为李先生进行了干细胞的采集。完成细胞制备后,为他进行了干细胞的移植,术后不到一个月,李先生就完全停止了胰岛素的注入。
如今,李先生已能像健康人一样正常饮食、生活,他直言“感觉重新活过来”。

患者2:8年糖尿病,移植干细胞,再不用吃药
李女士原本是一名书画爱好者,但在患糖尿病的8年里,她的视力、心脏以及手脚都受到了不同程度并发症的影响,常年吃药治疗,她的胃、肝也受到了伤害。
住院期间,李女士在医生的介绍下了解到了干细胞移植治疗手术,经过医生对干细胞技术的讲解,最终李女士决定接受干细胞移植。
干细胞移植手术后四个月,李女士已经完全停药,再也不用吃药控制血糖了,想吃什么就吃什么,跟正常人一样,她也重新拾起了自己的书画创作,生活品质有了明显的改善。

案例2:成功治愈59岁25年2型糖尿病,已33个月无需胰岛素,血糖恢复正常!
2024年4月30日,上海长征医院的殷浩教授及其团队在《Cell Discovery》杂志上公布的一项令人振奋的研究。这也是全球首次报道干细胞技术成功“治愈”晚期2型糖尿病的事例研究。[2]

患者情况:59岁男性,已有25年2型糖尿病病史,病情进展至终末期糖尿病肾病,并在2017年接受了肾移植。自2019年底起,血糖控制再次严重失衡,不仅威胁到移植肾的存活,还让患者常常担心因低血糖而出现意外。
2021年7月19日,由于对低血糖的担忧以及考虑血糖控制不佳对供体肾脏长期生存的不利影响,该患者在上海长征医院接受了自体再生胰岛移植治疗。
研究结果发现,干细胞术后第11周患者即开始完全脱离外源胰岛素,其口服降糖药(拜糖平、二甲双胍)术后逐步减量,并在第48周和56周实现彻底撤药。
空腹及餐后C肽等关键指标较术前显著提高,证实胰岛功能得到有效恢复;肾脏功能等随访指标均处于正常范围,也提示该疗法可避免糖尿病并发症的进展。
目前,该患者表示:”已持续33个月完全停用胰岛素,血糖稳定,胰岛功能显著恢复。”这一突破标志着2型糖尿病治疗从“控制症状”迈向“根源治愈”的新时代。

案例3:脐带间充质干细胞治疗,60岁患者的血糖重生之路
2025年7月25日,安徽医科大学第五临床医学院在《罕少疾病杂志》上发表了一篇题为《人脐带充质干细胞治疗2型糖尿病的一例报告并文献复习》的研究报告,给广大糖尿病患者带了康复的新希望。[3]

该研究选取的是1名确诊为2型糖尿病60岁男性患者,因20年前口干、多饮、多尿,血糖升高,诊断为2型糖尿病,有高血压病史。6年前因血糖控制不佳,调整治疗方案为门冬胰岛素30注射液18U 三餐前、甘精胰岛素注射液8U 睡前、曲格列汀100mg 每日1次+饮食运动治疗,血糖控制差,HbA1C:8.5%,空腹c肽:807pmol/L。
最终确诊为:2型糖尿病合并糖尿病视网膜病变、高血压和脂肪肝。在常规治疗收效甚微后,医疗团队制定了周密的干细胞治疗方案。
2022年6月19号于北京大学深圳医院内分泌科接受三次脐带间充质干细胞(hUC-MSCs)静脉注射。研究结果发现:
1.血糖明显改善:在随访过程中,患者第4、12周糖化血红 蛋 白 均 控 制 达 标 , 其 中 在 第 1 2 周 , 糖 化 血 红 蛋 白 降至最低,为5.3%;在随访过程中,患者空腹血糖(Fastingblood glucose,FBG)持续下降。餐后2小时血糖(2-hour postprandial blood glucose,PBG)均低于基线水平。(图1)

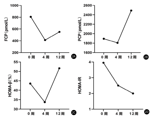
2.胰岛功能逐步改善:静脉输注脐带间充质干细胞后,患者FCP在第4周下降至最低,随后上升;而PCP在输注脐带间充质干细胞后,在4周后开始上升至12周;就HOMA-β而言,在4周后开始上升,于12周到达高值;而HOMA-IR,在输注hUC-MSCs后持续下降至12周,胰岛功能恢复与胰岛素抵抗减轻均于12周到达最佳效果。

3.逐渐减少降糖药:患者在前三次输注脐带间充质干细胞后逐渐实现降糖药物减量,到第4周实现了减停口服降糖药物,到4周胰岛素用量较基线胰岛素用量下降大于50%。(见表1)

4.安全性:整体来看,治疗安全性良好。余心电图、胸片、感觉阈值未见明显异常,未见肺部、肝胆脾胰等脏器出现新发结节/肿瘤等情况,随访过程中未出现感染、严重低血糖及急性心脑血管等事件。
患者感受:”虽然不能说‘治愈’,但生活质量明显提高了。最开心的是减少了胰岛素用量,低血糖事件大大减少,手脚麻木感也减轻了。”
医生与专家点评
尽管上述案例展现了干细胞治疗的潜力,但干细胞治疗仍处于临床研究阶段,并非成熟的常规治疗手段。虽然有一些积极的临床数据,但必须清醒认识到:
并非100%治愈:目前的研究更多是实现“功能性治愈”或“病情缓解”,即在减少或停用外源性胰岛素的情况下仍能良好控制血糖,而非根除疾病。
疗效存在个体差异:治疗效果受糖尿病类型、病程长短、胰岛功能残留情况以及是否存在并发症等多种因素影响。
无论是否接受干细胞治疗,生活方式干预都是糖尿病管理的基石。案例中效果较好的患者,都严格遵循了饮食控制和规律运动。
总结
干细胞疗法正在为2型糖尿病带来新的希望,但它仍处于临床探索阶段,并非适用于所有患者。真实的案例让我们看到了一些令人鼓舞的改善,也提醒我们要理性看待,科学验证还需要时间和更多数据。对患者而言,规范的生活方式管理仍然是治疗的根基,而干细胞或许将在未来成为重要的补充甚至突破口。
参考资料:
[1]https://tv.cctv.com/2009/11/25/VIDE1355512552044761.shtml
[2]Wu, J., Li, T., Guo, M. et al. Treating a type 2 diabetic patient with impaired pancreatic islet function by personalized endoderm stem cell-derived islet tissue. Cell Discov 10, 45 (2024). https://doi.org/10.1038/s41421-024-00662-3
[3]黄才浩,张帆.人脐带充质干细胞治疗2型糖尿病的一例报告并文献复习[J].罕少疾病杂志,2025,32(07):3-6.
免责说明:本文仅用于传播科普知识,分享行业观点,不构成任何临床诊断建议!杭吉干细胞所发布的信息不能替代医生或药剂师的专业建议。如有版权等疑问,请随时联系我。
扫码添加官方微信