慢性肾脏病(CKD)是一种进行性疾病,晚期患者治疗选择有限,预后不佳。近年来,脂肪来源干细胞(ADSC)疗法因其在临床前研究中展现出的肾脏修复潜力而成为研究热点。
为科学评估其临床疗效,最近,中国台湾台北市台北医学大学公共卫生学院在国际期刊杂志《临床转化与科学》主页上发表了一篇标题为“采用真实世界数据作为外部对照评估异体脂肪来源干细胞治疗晚期慢性肾脏病的疗效”的研究综述[1]。

结果显示:脂肪间充质干细胞疗法可能有助于稳定慢性肾病患者的短期肾功能,尤其对晚期CKD患者更为有效。尤其是在病情较重的患者中。在所有剂量组中,低剂量组的肾功能稳定性最佳。这些发现支持利用真实世界数据构建外部对照的可行性,并提示干细胞疗法可能对肾功能具有短期稳定作用。
一、 研究背景:慢性肾病的困境与治疗新希望
CKD的疾病负担与治疗局限:慢性肾脏病(CKD)是全球约10%人口罹患的常见病,其定义为肾脏结构或功能持续异常超过3个月,且通常不可逆转。疾病进展会引发心血管疾病、高血压等多种并发症,肾小管间质纤维化是导致肾功能持续下降的关键病理过程。
尽管现有药物(如RAAS抑制剂、SGLT2抑制剂等)可延缓CKD进展,但晚期患者仍面临肾功能迅速恶化的困境,因此亟需开发创新疗法。间充质干细胞(MSCs)因其促进肾脏修复和再生的能力而备受关注,已成为预防CKD进展的潜在治疗方法。

干细胞治疗慢性肾病的修复潜力:近期研究表明,间充质干细胞可通过旁分泌机制分泌细胞因子、趋化因子和生长因子,从而抑制邻近细胞凋亡,促进细胞增殖、血管生成和组织再生。
利用肾损伤小鼠模型的研究表明,间充质干细胞来源的细胞外囊泡能够抑制促炎因子,同时增强抗炎反应,从而发挥免疫调节作用,抑制肾小管上皮细胞焦亡和炎症,减轻肾纤维化,并促进细胞修复。在各种间充质干细胞来源中,脂肪组织来源的干细胞(ADSCs)与骨髓来源的间充质干细胞(BMSCs)相比,表现出更优异的抗炎和免疫调节特性。
现阶段干细胞治疗慢性肾病临床试验的瓶颈与挑战
当前许多MSC治疗CKD的临床试验受限于伦理与经济因素,缺乏随机对照组,影响了疗效评估的可靠性与有效性。这一设计缺陷使得难以准确衡量治疗作用的净效益,也制约了研究结果的临床转化与监管审批。
应用真实世界数据评估干细胞治疗慢性肾病真实疗效为何至关重要?
应用真实世界数据(RWD)评估干细胞治疗慢性肾病的疗效之所以至关重要,核心在于它能有效解决此类创新疗法早期临床研究的根本性设计缺陷。干细胞疗法的I/II期临床试验大多为单臂设计,缺乏内置对照组,难以区分治疗效应与疾病的自然进程。通过采用目标试验模拟等方法,RWD可以构建一个与试验组患者基线特征高度相似的外部对照组,从而弥补随机化对照的缺失,最大程度地减少偏倚,为疗效评估提供一个严谨、可靠的科学比较框架。
这种方法的实践价值与深远意义体现在多个层面。具体而言,它使得对单臂试验结果的解读从描述性提升到可比较的分析层次,显著增强了证据强度。以本研究为例,正是通过整合台北医学大学临床研究数据库(TMUCRD)中的常规治疗患者数据作为对照,才得以客观评估脂肪干细胞疗法延缓肾病进展的真实效果。
此外,RWD提供的证据不仅有助于更可靠的临床决策,也为支持监管审批提供了来自真实世界的关键补充证据,是推动有前景的干细胞疗法从早期试验走向实际应用不可或缺的桥梁。
二、 材料与方法:严谨设计确保可比性
数据来源与研究对象:本研究数据源自一项评估异体ADSC疗法(ELIXCYTE)的I/II期单臂临床试验(共39名受试者,分低、中、高三个剂量组)以及台北医学大学临床研究数据库(TMUCRD)。
在I期共有12名受试者参与,II期共有27名受试者参与。其中,12名受试者接受了低剂量(ADSC6.4×10⁷个细胞)的ADSC治疗,12名受试者接受了中等剂量(ADSC19.2×10⁷个细胞)的ADSC治疗,15名受试者接受了高剂量(ADSC32.0×10⁷个细胞)的ADSC治疗。
TMUCRD包含了约2.4万名接受常规治疗的CKD患者的纵向信息。研究严格遵循伦理规范,所有数据均经批准并使用。
病例组为临床试验中符合条件(20-80岁,CKD 3b-4期)的34名患者。对照组则从TMUCRD中依据与病例组完全相同的纳入与排除标准(如排除特定合并症、未控制糖尿病等)进行初步筛选,得到2384名潜在对照。
研究设计与统计匹配:为确保两组可比性,研究采用倾向性评分匹配(PSM)方法,以1:5的比例为每例病例匹配5例对照。最终成功构建了一个由34例ADSC治疗组患者和170例RWD外部对照组患者组成的、基线特征(包括年龄、性别、CKD分期、合并症及用药)无统计学差异的分析队列,有效减少了混杂偏倚(图1)。

疗效评价指标:研究采用两个核心指标评估肾功能变化。
- ①主要指标是eGFR相对于基线的平均百分比变化,用于衡量肾功能的动态波动与短期稳定性。
- ②关键次要指标是eGFR较基线下降≥30%的发生率,这是一个被广泛认可的CKD进展的临床终点。此外,研究也将eGFR下降15%、20%、25%及35%的发生率作为次要指标进行考察,以多角度评估肾功能恶化情况。
三、 临床结果:脂肪间充质干细胞疗法展现明确肾脏保护作用
3.1、研究队列与基线特征
本研究采用倾向评分匹配(PSM)构建了可比队列,最终分析队列包含34例ADSC治疗组患者和170例真实世界数据外部对照组患者。
匹配后,两组基线特征平衡,无统计学差异:队列中62%为男性,平均年龄51-53岁,慢性肾脏病(CKD)4期患者占67.65%,超过85%的患者接受了肾素-血管紧张素-醛固酮系统抑制剂治疗,确保了后续疗效比较的可靠性。
3.2、ADSC治疗组与RWD EC组比较:ADSC治疗稳定肾功能,延缓eGFR下降
如图2A部分所示,与RWD EC组相比,ADSC治疗组的eGFR轨迹更为稳定,下降速度也更慢。按CKD分期分层分析显示,在CKD3期,两组的eGFR均保持稳定;而在CKD4期,RWD EC组的eGFR下降幅度显著更大。

此外,ADSC治疗组的eGFR变异性更高,表现为标准差更大。图2B部分展示了eGFR相对于基线的百分比变化,结果显示RWD EC组的eGFR变化偏离0%更为显著,反映出其肾功能随时间推移波动更大,而ADSC治疗组则保持相对稳定。
在CKD3期,两组的eGFR百分比变化无显著差异,表明总体稳定性良好。然而,在CKD4期,RWD EC组与ADSC治疗组相比出现了统计学上的显著下降,这表明在晚期CKD患者中,ADSC治疗组的短期肾功能轨迹更加稳定。
3.3、RWD EC组与ADSC治疗组比较:ADSC组显著降低肾功能恶化风险
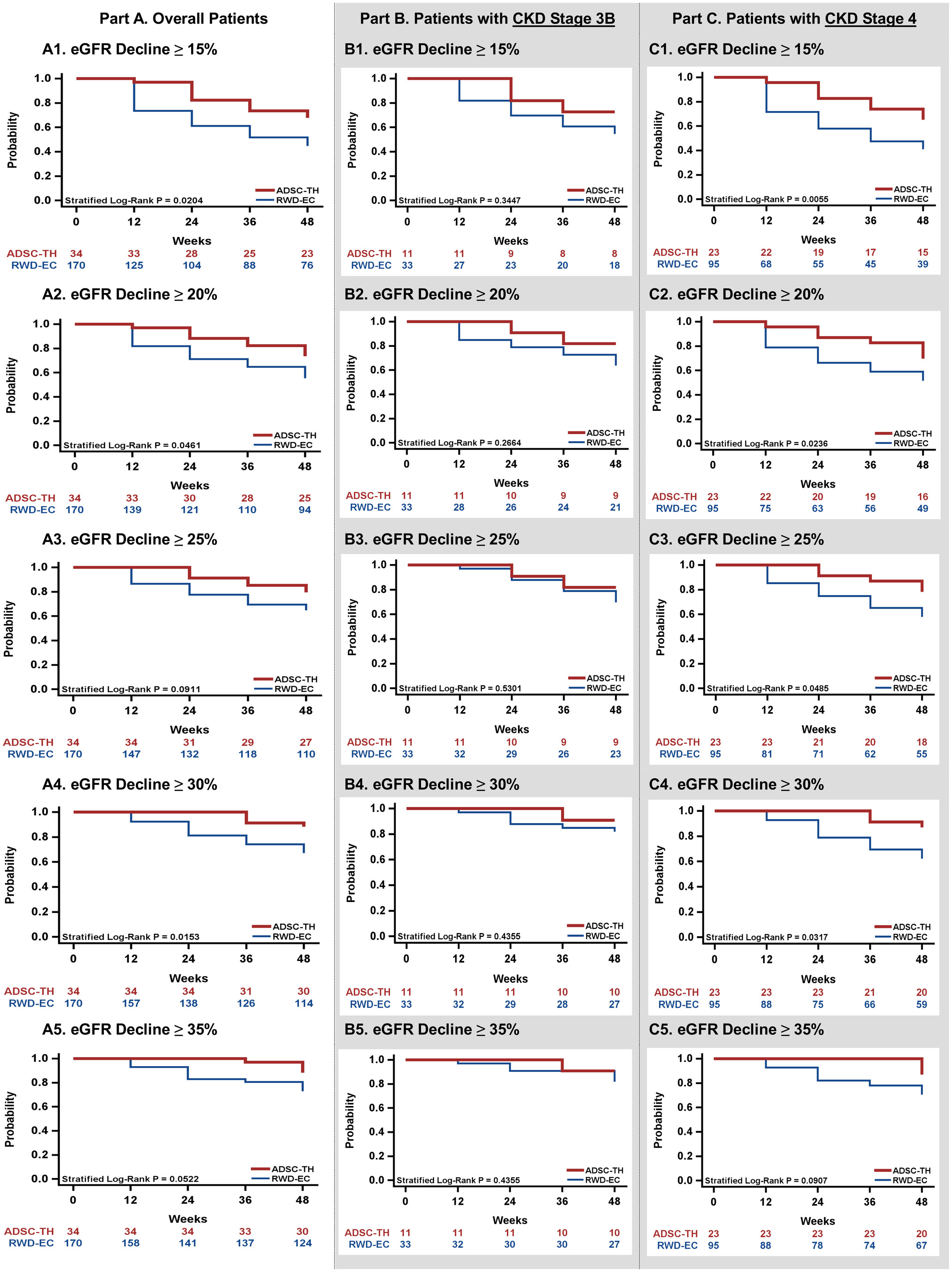
在ADSC治疗组和RWD EC组中,我们评估了不同eGFR下降阈值下肾功能下降的风险,并按总体人群、CKD 3B期和CKD 4期进行分层(图3)。

风险分析证实,ADSC治疗能大幅降低肾功能恶化风险:
- 总体人群中,eGFR下降≥30%的风险比(HR)为0.276,意味着风险降低了约72.4%(p<0.05)。
- 在CKD4期亚组中,eGFR下降≥15%和≥30%的风险也分别显著降低55.8%(HR=0.442)和72.4%(HR=0.276)。
Kaplan-Meier生存分析进一步显示(图4),对照组达到eGFR下降30%终点的累积风险速度,在总体人群和CKD 4期患者中均显著快于ADSC治疗组(p值分别为0.0153和0.0317)。

这共同表明,ADSC治疗能有效延缓肾功能衰退的速度,为晚期慢性肾脏病患者提供了显著的短期肾脏保护作用。
3.4、低剂量ADSC方案效果最为突出
不同剂量ADSC治疗组的短期肾功能变化趋势存在差异(图5)。与真实世界数据外部对照组相比,只有低剂量ADSC治疗组(6.4×10⁷个细胞)显示出明确的肾脏保护作用:其平均估算肾小球滤过率保持稳定,而对照组则呈进行性下降;且其eGFR相对于基线的百分比变化持续保持上升趋势。

相比之下,中剂量组(19.2×10⁷个细胞)与对照组的eGFR变化轨迹相似,高剂量组(32.0×10⁷个细胞)的稳定性虽略高,但均无统计学显著差异。总体而言,这些结果表明,与其他剂量组相比,低剂量治疗在稳定短期肾功能方面效果最为突出。
在延缓肾功能恶化进程方面,低剂量ADSC治疗也展现出显著优势(图6)。生存分析显示,低剂量ADSC治疗组在所有eGFR下降阈值下,肾功能恶化的累积风险上升速度均慢于对照组,其中eGFR下降超过30%和35%的风险显著降低。

而中、高剂量治疗组在大多数阈值(如eGFR下降20%、25%、30%、35%)下,与对照组相比均未观察到风险累积速度的显著差异。这进一步证实,低剂量ADSC治疗与更高的短期肾功能稳定性相关,其延缓疾病进展的效果优于中、高剂量。
四、 讨论与结论:意义、启示与未来方向
4.1、研究设计的科学价值
本研究通过创新性整合RWD构建高质量外部对照,成功克服了单臂试验缺乏对照的固有缺陷,为在真实世界背景下严谨评估细胞疗法疗效提供了可复制的范例,增强了证据的可靠性与外推性。
4.2、短期疗效的临床价值与长期展望
尽管观察期为48周,但研究中观察到的肾功能稳定具有重要临床意义。对于中晚期CKD患者,即使是短暂的肾功能下降也与透析、终末期肾病及死亡风险增加密切相关。因此,在48周内维持eGFR稳定意味着有效的疾病控制。这可能是ADSC通过再生与免疫调节机制启动肾脏修复过程的早期信号,为改善长期预后奠定了基础,但此效果需未来更长时间的随访研究来最终证实。
4.3、剂量-反应关系的意外发现与机制探讨
研究结果显示,疗效与剂量并非简单的线性关系。低剂量ADSC(6.4×10⁷个细胞)表现出最佳的肾功能稳定效果,而中、高剂量组的效果相对不显著。
这一现象与某些同类研究结论一致,可能的原因包括:ADSC主要通过旁分泌信号激活机体自身修复系统,而非直接替代受损细胞;过高的剂量可能引发不必要的免疫或炎症反应,抵消其保护作用。这一发现提示,确定一个能够充分激活修复反应、兼具安全性与成本效益的“治疗窗口”至关重要。
4.4、综合结论与未来展望
综上所述,异体脂肪来源干细胞(ADSC)疗法,特别是低剂量方案,在短期内能显著稳定晚期CKD患者的肾功能,并大幅降低肾功能恶化风险,且在所有剂量下均表现出良好的安全性与耐受性。其作用机制可能超越传统药物,直指肾脏损伤修复。
未来需要开展更大规模、更长随访期的III期临床试验,以验证长期疗效,并进一步阐明其生物学机制,优化治疗策略,最终推动这一有前景的疗法惠及广大患者。
参考资料:
[1]Y.-C. Lin, Y.-P. Hung, Y.-C. Tian, et al., “ Real-World Data as External Control in Assessing the Efficacy of Allogeneic Adipose-Derived Stem Cells Therapy for Advanced Chronic Kidney Disease,” Clinical and Translational Science 18, no. 12 (2025): e70415, https://doi.org/10.1111/cts.70415.
免责说明:本文仅用于传播科普知识,分享行业观点,不构成任何临床诊断建议!杭吉干细胞所发布的信息不能替代医生或药剂师的专业建议。如有版权等疑问,请随时联系我。
扫码添加官方微信