2024年12月17日,加州大学圣地亚哥分校医学院研究人员在行业期刊《细胞医学报告》上发表了一篇关于《神经干细胞移植治疗慢性胸椎损伤的单中心Ⅰ期临床研究》的长期临床和安全性结果。

研究报告显示,所有四名受试者都很好地耐受了干细胞植入手术,并且两名受试者在移植后五年有持久的肌电图量化神经系统改善证据以及神经运动和感觉评分增加。
什么是脊髓损伤?
脊髓损伤(Spinal Cord Injury, SCI)是指脊髓的任何部分由于物理性或非物理性因素造成的损害,导致其结构与功能受损,进而引发损伤平面以下的身体区域出现不同程度的感觉、运动及自主神经功能障碍。
这种损伤可以由多种原因造成,包括但不限于创伤(如交通事故、跌落、暴力事件等)、非创伤性因素(例如肿瘤、退行性疾病、血管疾病、感染、毒素暴露或先天缺陷)。

脊髓损伤往往带来严重后果,如部分或完全瘫痪。并且目前尚无能够逆转脊髓损伤的方法,传统的治疗方法如药物治疗、物理康复等只能缓解症状,并不能有效修复受损神经组织或恢复神经功能。
近年来,随着研究的进步,神经调节技术和细胞疗法成为了治疗SCI颇具潜力的新途径。特别是在细胞治疗领域,胎儿来源的神经干细胞(NSC)因其具备明确的分化潜能而不易形成畸胎瘤,显示出良好的安全性和有效性。这些特性使得NSC成为修复受损神经组织的理想候选者之一。
什么是神经干细胞移植?
神经干细胞移植是一种前沿的医疗技术,它涉及将自体或异体来源的神经干细胞(Neural Stem Cells, NSCs)经过体外培养和扩增后,通过特定途径移植到受损的大脑或脊髓区域,以促进神经再生和修复。
这一过程旨在利用NSCs的自我更新能力和多向分化潜能来替代已死亡或受损的神经细胞,从而恢复神经功能。
由于这些神经干细胞源自人体细胞,因此这种治疗方法有可能再生受损组织,同时无缝整合到现有的神经系统中。
之前,我们报告了在慢性胸椎完全性SCI患者中植入NSC系NSI-566的安全性和耐受性。NSI-566系是经美国食品药品监督管理局 (FDA) 批准用于临床试验的人体NSC系。自从最初的安全报告在为期60个月的研究中对患者进行了18个月的跟踪以来,几项使用NSC治疗SCI的人体试验也描述了类似的结果。
在这里,我们报告了先前记录的18个月结果的长期延伸,该结果来自为期五年的I期首次人体临床试验中招募的第一批患者,该试验将NSC产品NSI-566植入慢性ASI-A级胸椎SCI患者的损伤部位。
五年随访数据证明:神经干细胞成为脊髓损伤治疗的可行选择
本次发布的I期临床研究旨在评估神经干细胞移植治疗慢性胸椎脊髓损伤的安全性和初步疗效。研究选取了四名完全性ASIA-A级胸部SCI患者作为受试者,这些患者的损伤时间均超过一年,且在接受任何其他形式的有效治疗后仍未见明显好转。
方法:每位受试者接受了每个注射点含有2×105个神经干细胞,通过定制的立体定向设备,双侧注入损伤部位周围的剩余组织及下方约一个节段的内侧白质区,整个过程由术中荧光透视成像指导完成。这一剂量基于临床前和早期临床研究确定为安全有效。(见图1)

结果
01.神经系统反应概览
为了评估神经干细胞(NSC)移植后的效果,研究人员在初次筛选、术后第4周和第12周进行了国际脊髓损伤神经分类标准检查(ISNCSCI),随后每六个月重复一次直至研究结束。初次ISNCSCI检查定义了最接近前端注射部位的神经水平尾部的第一个节段。(见图2)
- 两名患者(编号001和010)显示出显著的神经损伤水平(NLI)、运动评分及感觉评分的改善。
- 特别是受试者001,在细胞移植两年后神经系统评分提高了两个水平,但在五年时这一数字回落到一个水平;
- 而受试者010则在整个5年随访期间保持了一个水平的稳定神经系统改善。

02.免疫抑制治疗与免疫反应
- 所有四名接受NSC移植的受试者在移植后12周停止了他克莫司和霉酚酸酯的使用。
- 尽管受试者010在六个月时检测到了阳性抗HLA抗体,但进一步分析表明这些抗体并非针对供体细胞HLA等位基因特异性产生。因此,研究团队认为观察到的免疫反应不是由NSC移植引起的。
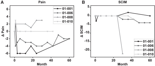
03.疼痛管理与生活质量
- 术后疼痛评分方面,有两名患者(001和006)报告总体疼痛减少(见图3),涵盖了过渡区不适和其他类型的神经性和伤害性疼痛。
- 相比之下,患者008经历了一定程度上的疼痛增加,而患者010的疼痛评分基本保持不变。
- 值得注意的是,三名患者的脊髓独立性测量(SCIM)评分没有明显变化,但患者008因骶骨溃疡导致30个月时发生严重不良事件(SAE),其SCIM评分大幅下滑。

04.影像学评估
- MRI成像显示所有患者均存在不同程度的局灶性脊髓软化症,但未发现新的并发症如脊髓或软组织水肿区域、增强或肿胀或积液等。(见图4)
- 弥散张量成像(DTI)表明损伤部位及其前后端的脊髓束外观稳定,不过并未见到广泛的重塑或纤维束造影改善。

05.神经生理反应
- 受试者001(T8水平损伤):(见图5)
- 移植后四周即观察到左T9和右T10腹直肌以及椎旁肌活动;
- 27个月时,双侧T10椎旁肌活动有所增强,BMCA测试显示下肢肌肉对强化动作有了新发展的反应。
- 至60个月时,右侧胫骨前肌和右脚趾持续EMG活动,左侧T11和T12双侧腹直肌也出现了新的自主控制。
- 受试者006(T7水平损伤):(见图5)
- 12个月时,右侧腹直肌和双侧T6至T8椎旁肌出现新的自主活动;
- 18个月时,双侧T9处插入EMG针头时感受到感觉恢复;
- 从36到54个月,T10双侧腹直肌和T10-T11椎旁肌的控制得到改善;
- 60个月时,BMCA再次确认下肢对强化操作产生了新出现的肌肉反应。
- 受试者010(T5损伤水平):(见图5)
- 移植后6到36个月内,T7右侧浅表椎旁肌持续显示EMG活动;
- 42个月时,BMCA记录下了肢对强化操作的新肌肉反应。

讨论
胚胎干细胞因其多能性成为首批被探索用于脊髓损伤细胞疗法的细胞库之一。最近的研究中,Levi及其团队针对慢性脊髓损伤患者进行了二期临床试验,使用了源自胎儿脑的人类中枢神经系统干细胞系(HuCNS-SC),旨在评估这些细胞移植的安全性和潜在疗效。
该研究首先通过不同剂量的细胞移植来确定最佳剂量,并最终应用于新的患者群体中进行治疗。结果显示HuCNS-SC移植是安全且耐受良好的,同时观察到了运动功能和痉挛有所改善的趋势。
本次研究影像学检查显示,所有参与者的脊髓内均未出现肿瘤生长或其他不良反应,包括感染或免疫排斥现象。扩散张量成像(DTI)作为一种研究工具,能够提供关于脊髓结构变化的信息,尽管本研究中没有发现大量证据表明纤维束成像有所改善,但它确实提供了定性和定量的脊髓评估数据。
次要结局指标方面,两名患者的术后疼痛评分有所下降,涵盖了多种类型的疼痛。ISNCSCI检查显示,在研究结束时,两名患者的神经水平指数(NLI)、运动评分及感觉评分均有提高。电生理测试也揭示了部分患者下肢肌肉群出现了新的活动迹象,以及某些情况下腹直肌和椎旁肌肉的自主控制能力增强。
特别是,三名患者表现出EMG活动逐渐增加的现象,范围从两个到四个水平不等。例如,受试者001从T9-T10水平到双侧T10,再到T11-T12水平;受试者006则从T6-T8改善至T10-T11。这些结果虽然未能转化为显著的功能性改善,但为未来的剂量递增研究提供了有价值的概念验证数据。
结论
综上所述,此次由加利福尼亚大学圣地亚哥分校神经外科团队主导完成的I期临床研究表明,神经干细胞移植是一种可行且相对安全的方法,能够在一定程度上促进慢性胸椎SCI患者的神经功能恢复。
随着相关研究和技术的不断进步,相信在未来几年内,我们将见证更多有关干细胞疗法治疗脊髓损伤的成功案例,从而为无数饱受病痛折磨的家庭带去新的曙光。
相关阅读:想要了解更多关于干细胞治疗脊髓损伤的新闻资讯请点击这里!
参考资料:
Long-term clinical and safety outcomes from a single-site phase 1 study of neural stem cell transplantation for chronic thoracic spinal cord injuryMartin, Joel R. et al.Cell Reports Medicine, Volume 5, Issue 12, 101841
免责说明:本文仅用于传播科普知识,分享行业观点,不构成任何临床诊断建议!杭吉干细胞所发布的信息不能替代医生或药剂师的专业建议。如有版权等疑问,请随时联系我。
扫码添加官方微信