概述:肝移植是一些晚期肝病患者生存的唯一机会,但供体短缺意味着患者可能在等待新肝脏的过程中死亡。我们在动物模型中证明,源自胎盘的人羊膜上皮细胞(hAEC)可以减轻肝纤维化和炎症的严重程度。
首次人体试验:人羊膜上皮细胞移植肝硬化患者安全且耐受性良好
近日,国际期刊杂志《Stem Cells Translational Medicine》发表一篇《人羊膜上皮细胞移植对代偿期肝硬化患者安全且耐受性良好:首次人体试验》的文献综述,综述表明我们对9名肝硬化患者进行了一项I期首次人体临床试验,以确定给予不同剂量的hAEC是否安全。试验期间没有发生严重不良事件,一些患者的肝脏炎症和纤维化标志物有所减少。我们的研究结果支持更多的临床研究,以确定哪些患者可能受益于这种潜在的肝硬化新疗法。

得到结果:
- 在本研究中使用的剂量下,来自胎盘的干细胞的施用对于肝硬化患者来说是安全的且耐受性良好。
- 虽然这是一项针对9名肝硬化患者的小型研究,但我们发现其中一些人的肝脏炎症和纤维化标志物出现了有利的变化。
- 肝硬化患者的肝损伤程度(炎症、纤维化)不同,因此需要进一步研究来了解哪些患者可能受益于这些胎盘干细胞治疗。
介绍
全球终末期肝病负担沉重,肝硬化排在第11位,肝癌排在第16位。这些疾病合计占全球死亡人数的3.5%。肝硬化是持续性损伤的复杂伤口愈合反应的结果,其特征是慢性炎症、细胞外基质生成增加和肝细胞质量损失。
虽然以前认为肝纤维化是一种静态且不可逆的疾病,但现在有证据表明肝纤维化是动态且可逆的。可靠的临床数据显示,肝硬化可以在治疗肝损伤的根本原因后得到解决,例如对乙肝患者进行长期病毒抑制。然而,对于许多发展为肝硬化的患者来说,对特定疗法没有反应或缺乏有效治疗意味着唯一的生存希望是肝移植。随着对肝脏捐献者的需求不断增加,对全器官移植替代方案的需求尚未得到满足。

一种替代方案可能是源自羊膜的人羊膜上皮细胞 (hAEC),羊膜在原肠胚形成前由外胚层发育而来,从而保留了分化为所有3个胚层细胞的能力。 hAEC表达胚胎干细胞标记物,但不表达端粒酶,不致瘤,并且不会在宿主中引起免疫介导的排斥反应。
我们已经证明,hAEC具有内在的免疫调节特性,可以在坏死性肝病模型和脂肪性肝炎模型中诱导肝纤维化消退。就其临床应用潜力而言,与可从脂肪组织或骨髓中分离出数十万个间充质基质细胞 (MSC) 相比,通常使用免费方法从单足月羊膜中分离出120-2亿hAEC动物产品并符合临床使用。与MSC相比,hAEC的分离过程大约需要4-6小时,MSC需要4-6周的离体扩增才能获得相似数量的细胞用于治疗用途,这使得hAEC成为一种低成本且丰富的细胞资源。此外,hAEC不会引起伦理问题,因为胎盘通常在分娩后被丢弃。
基于我们大量的干细胞治疗肝硬化的临床前数据显示这些细胞的有利特性,我们进行了一项I期临床试验。
- 主要目标:是hAEC同种异体移植在成年代偿性肝硬化患者中的安全性和耐受性。
- 次要目标:包括肝硬化严重程度临床测量的变化 [Child-Pugh (CPT) 评分、终末期肝病模型 (MELD)、FIB-4、肝脏硬度]、肝脏炎症(血清AST)和门静脉高压(hAEC给药后8周肝静脉压力梯度。
方法
纳入标准:该研究纳入了年龄≥18岁至≤70岁的代偿性肝硬化成年女性或男性患者。患有代谢功能障碍相关脂肪肝病 (MASLD)、酒精相关肝病(禁酒至少3个月)、丙型肝炎病毒感染(治疗或未治疗)、乙型肝炎病毒感染(使用ALT正常且抑制的核苷类似物)的患者HBV DNA 病毒载量或非活动期)、HIV与HCV/HBV合并感染且病毒学抑制超过12个月、隐源性肝硬化和血色素沉着症(维持性静脉切开术)均可进入研究。
细胞数量和hAEC给药途径:根据我们在动物模型中的经验以及在Monash Health进行的一项单独研究中治疗的6名婴儿,我们通过外周静脉输注来施用细胞。该途径看起来安全且耐受性良好,也与已发表的间充质干细胞移植研究中的给药途径一致。
MSC试验中施用的细胞数量通常在106/kg至108/kg之间。我们选择了0.5×106/kg体重的低起始剂量。
安全评估:根据队列和治疗组总结安全性分析。在研究访视期间进行了标准体检、生命体征、心电图和临床实验室测试。使用了疑似意外严重不良事件报告(SUSAR)。从第0天到随访结束记录不良事件 (AE),并使用美国国家癌症研究所不良事件通用术语标准 (v5.0) 按严重程度分为1、2、3或4级。
AE和严重AE的发生率和频率及其与研究药物的关系,包括导致患者停药、剂量调整或治疗停止的AE,按剂量和治疗组进行分类。使用最新版本的监管活动医学词典总结了治疗中出现的AE,并将其严重程度分为轻度、中度或重度。
结果
研究人群
2016年12月至2021年12月期间,50名患者被邀请参加该研究。其中,21名患者拒绝参加,15名患者符合排除标准。其余14名患者中,5名筛查失败,包括3名HVPG>12mmHg的患者(患者004、005、013)和1名(008)撤回同意。一名患者 (003) 最初因ESR升高而未能通过筛查;然而,随后的观察结果被重新筛选并在队列2中开始。符合所有纳入标准且没有排除标准的9名患者被纳入该研究。我们最初计划让第四组患者接受3hAEC剂量(第0天、第28天和第56天),但由于新冠肺炎对我们试验中心研究招募的限制而未能实现。
基线人口统计数据
四名女性和五名男性完成了所有研究程序。中位年龄为57岁(范围为38-67岁),8名患者患有MASLD,这是其肝病的原因(表1)。

a丙型肝炎病毒。
b代谢相关的脂肪肝病。
c Child Pugh Turcotte 评分。
d终末期肝病模型。
一名患者(001)之前曾成功根除丙型肝炎感染。根据Child-Pugh和MELD评分,所有患者均患有代偿性肝病。使用侵入性和非侵入性测量来评估肝纤维化。四名患者此前曾接受过肝活检。纤维化的非侵入性测试包括FIB-4测试和使用瞬时弹性成像测量肝脏硬度。所有患者均在基线时测量HVPG(表2)。

安全性和耐受性
在研究期间,所有患者均未发生严重不良事件。六名患者没有经历与研究相关的不良事件(患者002、006、009、010、012和014)。三名患者报告头痛可能与输液有关。头痛为轻度(1级),并在细胞输注后的不同时间发生(患者001在255分钟,患者003在54分钟,患者007在6小时)。所有患者的血清血小板计数均出现短暂下降,并在第5天时恢复至基线筛查值。用于评估纤维化的FIB-4值在第56天显着降低。
肝脏炎症和纤维化的非侵入性标志物
我们检查了常用血清标志物的变化,例如与肝脏炎症和纤维化相关的血清AST和ALT。这些酶被纳入许多非侵入性纤维化算法中,例如AST与血小板比率 (APRI)、FIB-4和FibroScan-AST (FAST) 评分。我们医院实验室的AST参考范围是3-35U/L。研究期间未检测到AST升高超过2倍(70U/L);相反,我们观察到8名患者的 AST 值在基线和细胞输注后2个月之间稳定或下降,而1名患者从52U/L增加至58U/L(图2)。

第58天的血清AST。与基线值相比,第58天时8名患者的中位血清AST值较低或稳定。一名患者的AST从52U/L增加至58U/L。来自第一组的数据点由空心圆圈表示,来自第二组的数据点由实心三角形表示,来自第三组的数据点由空心正方形表示。
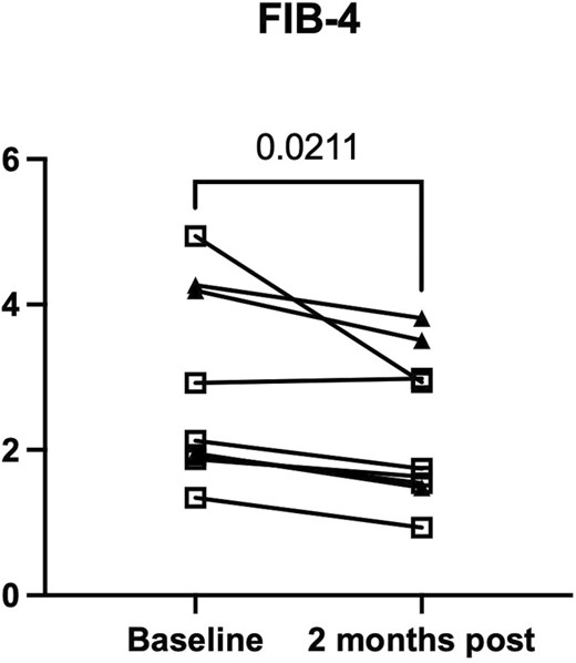
相比之下,基线和输注后2个月的血清ALT值(参考范围,5-40U/L)相似(数据未显示)。FIB-4是肝纤维化的无创评估,包括年龄、血清ALT、AST和血小板。我们发现与hAEC输注后2个月相比,基线FIB-4值显着下降(图3)。

第58天的Fib-4评分。与基线值相比,hAEC输注后第58天的FIB-4值较低。来自第一组的数据点由空心圆圈表示,第二组由实心三角形表示,来自第三组的数据点由空心正方形表示。
肝脏硬度测量
在筛选期间、hAEC输注后5天以及输注后2个月再次测量肝脏硬度。虽然输注2个月后6名患者的数值较低,但总体差异并不显着。一名基线LSM为75kPa的患者 (009) 在hAEC暴露后未显示任何变化(图4)。

第58天的肝脏硬度测量。hAEC输注后2个月,6名患者的肝脏硬度测量值较低,2名患者的肝脏硬度测量值增加,第三名患者的肝脏硬度测量值升高但稳定。来自第一组的数据点由空心圆圈表示,来自第二组的数据点由实心三角形表示,并且来自第三组的数据点由空心正方形表示。
肝静脉压力梯度
门静脉高压是肝病进展为失代偿和肝细胞癌的主要驱动因素。我们通过确定肝静脉压力梯度,在筛选期间和 hAEC 输注后 2 个月内测量了每位患者的门静脉压力,肝静脉压力梯度是通过内部零(自由)校正的楔形肝静脉压力(门静脉压力的间接测量)之间的差值。肝静脉压)。正常压差为3-5mmHg,而值≥10 mmHg 则定义为有临床意义的门静脉高压。
我们发现,除009号患者基线血压正常 (5mmHg) 外,所有患者的HVPG基线均升高。该正常值可能是由于测量技术差异造成的,因为根据超声检查结果,该患者临床上患有肝硬化并伴有门脉高压,包括脾肿大、LSM为75kPa,以及重复测量时血清血小板低。
输注后2个月,009号患者的HVPG从5mmHg增加至13mmHg,后者的值可能反映了真实的门静脉压力梯度。4名患者的HVPG在2个月时出现下降。4名患者的HVPG没有变化或略有增加(图5)。

第58天的肝静脉压力梯度。输注后2个月,4名患者的肝门静脉压力梯度(HVPG)下降,4名患者的肝门静脉压力梯度没有变化或略有增加。一名患者表现出HVPG大幅增加(参见讨论文本)。来自第一组的数据点由空心圆圈表示,来自第二组的数据点由实心三角形表示,来自第三组的数据点由空心正方形表示。
第58天的肝静脉压力梯度。输注后2个月,4名患者的肝门静脉压力梯度(HVPG)下降,4名患者的肝门静脉压力梯度没有变化或略有增加。一名患者表现出HVPG大幅增加(参见讨论文本)。来自第一组的数据点由空心圆圈表示,来自第二组的数据点由实心三角形表示,来自第三组的数据点由空心正方形表示。
终末期肝病模型
从基线到输注后2个月,5名患者的MELD评分没有变化,2名患者增加1分,2名患者分别减少1分和3分(图6)。

58天终末期肝病模型。输注后2个月,5名患者的MELD无变化,4名患者的MELD无变化或略有增加。第一组的数据点用空心圆表示,第二组的数据点用实心三角形表示,第三组的数据点用空心正方形表示。
讨论
在这项I期研究中,我们首次在肝硬化患者中开展研究,结果表明,静脉输注异体hAEC(最高106细胞/kg,分2次注射)安全且耐受性良好。9名患者中有6名未出现不良临床事件。3名患者出现1级头痛;其中一名患者还出现短暂性视力模糊,一名患者报告出现短暂性排便稀便和肌肉疼痛,均为1级。2名患者报告在输注后的几天内精力水平提高,嗜睡减少。
所有患者的血清血小板计数均出现短暂下降,并在第5天时恢复至基线筛查值。用于评估纤维化的FIB-4值在第56天显着降低。尽管没有统计学意义,但D56时的血清AST水平和肝脏硬度测量值低于基线。肝静脉压力梯度(门脉高压的衡量标准)在4名患者中下降,在3名患者中没有变化,在2名患者中增加。
总之,代偿性肝硬化患者以本研究中使用的剂量静脉输注同种异体hAEC是安全的且耐受性良好,1次和2次剂量之间没有观察到差异。肝脏炎症、肝脏僵硬和门静脉高压的减少支持了旨在确定可能从这种疗法中受益的患者的更大规模研究。
结论
以本研究中使用的剂量对代偿性肝硬化患者进行外周静脉输注同种异体hAEC是安全且耐受性良好的。我们中心最近对8名接受hAEC的急性卒中患者进行的一项研究也观察到类似的令人放心的结果。
我们没有发现接受单剂治疗的患者和接受2剂治疗的患者之间的结果存在明显差异。尽管没有计划对这一小群患者进行正式的统计分析,但出现了肝脏炎症、肝脏僵硬和门静脉高压减少的有希望的信号,这将支持对代偿性和失代偿性肝硬化患者进行更大规模的研究,以了解哪些患者可能受益,以及有效治疗肝纤维化的最佳剂量和方法。
参考资料:Rebecca Lim, Alexander Hodge, Sherryne Warner, Gregory T Moore, Jeanne Correia, Mirja Krause, Hannah McDonald, Siow T Chan, Mihiri Goonetilleke, Stuart M Lyon, William Sievert, Human amniotic epithelial cell transplantation is safe and well tolerated in patients with compensated cirrhosis: a first-in-human trial, Stem Cells Translational Medicine, 2024;, szae023,
https://doi.org/10.1093/stcltm/szae023
免责说明:本文仅用于传播科普知识,分享行业观点,不构成任何临床诊断建议!杭吉干细胞所发布的信息不能替代医生或药剂师的专业建议。如有版权等疑问,请随时联系我。
扫码添加官方微信